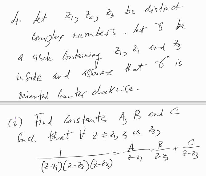
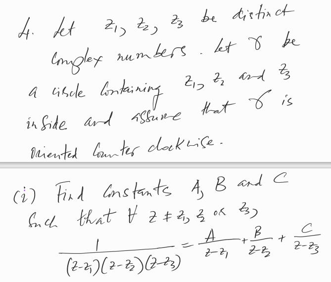
Question: H. set 23 be distinct Complex numbers let I be a liscle containing 2 1 , 2, and to inside and assume that I is






H. set 23 be distinct Complex numbers let I be a liscle containing 2 1 , 2, and to inside and assume that I is Oriented Counter clockwise. ( 2) Find Constants A, B and C fuck that V 2 + 2, 2 OR to) A B C ( 2- 2, ) ( 2 - 22 ) ( 2-23 ) 2 - 23( it ) Compute dz ( 2 2, ) ( 2-2 ) ( 2- 23) Hint: As explained during our lecture, you may assume that 8 is homotopic in ( / 2 2, z, 2, 3 ) to the blue curve in the following diagram : C ignore this . to you may also aflame that in the diagram above , Ciscz and CZ are circles centerd at tis t, and to , respectively. (( in) Jet C be ke circle of raking 3 Centered at the origin and oriented Counter lack wise. Use ( 12) above to Compute dz . 2 3 + 8 C
Step by Step Solution
There are 3 Steps involved in it
Get step-by-step solutions from verified subject matter experts
