Question: Heat transfer Note my answer was incorrect PLEASE COULD YOU PROVIDE AN EXPLINATION WITH THE RIGHT ANSWER, I CANNOT UNDERSTAND HOW TO APPROATCH THIS PROBLEM
Heat transfer
Note my answer was incorrect
PLEASE COULD YOU PROVIDE AN EXPLINATION WITH THE RIGHT ANSWER,
I CANNOT UNDERSTAND HOW TO APPROATCH THIS PROBLEM AND HOW TO THINK,
PLEASE DETAILED EXPLINATION //
Note my answer was incorrect



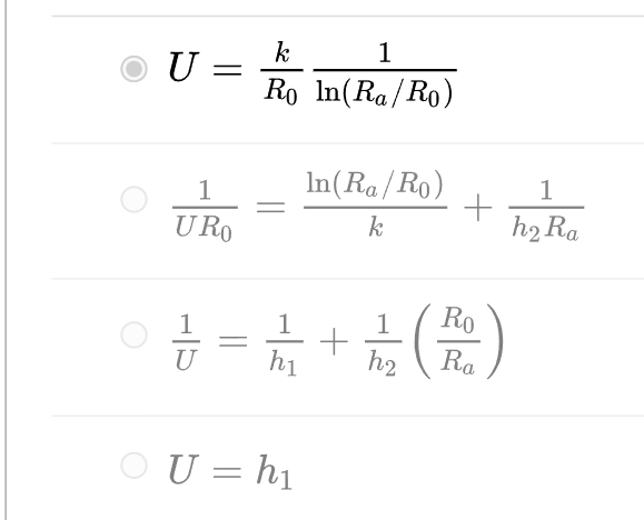
RA Ro T T16 T20 = The heat flow (in [J/s]) through the wall of a tube of length L and inner radius Ro is Q = (2+ R,L)U(T1 T200), where T100 is the bulk temperature in the inside and T200 is the bulk temperature on the outside. The overall heat heat transfer coefficient reads as: 1 = UR 1 hi Ro + In(Ra/Ro) k 1 + ha Ra (1) where Ro and Ra are the inner and outer radius of the tube, respectively, hy and h2 are the inner and outer heat transfer coefficients, and k is the thermal conductivity of the wall. How does Eq. (1) simplify for the T-profile shown on the left? U= = k 1 Ro In(Ra/Ro) 1 URO In(Ra/Ro) k + 1 ha Ra. 1 i = + 1 U 1 h2 Ro Ra hi O U = 1
Step by Step Solution
There are 3 Steps involved in it
Get step-by-step solutions from verified subject matter experts
