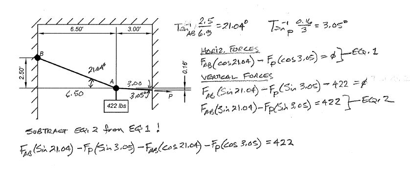
Question: Hello again, In my previous question, perhaps I was incorrect the way I presented the question. Attached is a modification of the similar question without
Hello again,
In my previous question, perhaps I was incorrect the way I presented the question.
Attached is a modification of the similar question without the Force F but now shown as Force AB
In a previous similar question, the Force AB was at degrees, therefore the Sin Cos cancelled each other out. Now the angles are and degrees so it appears the Sin Cos will not cancel, so I am stuck as how to proceed with this.
Your previous solution shows that after solving equation i and ii that F & Fp and I have been unable to come up with similar solution.
Can you please further explain
Please see attached.
Step by Step Solution
There are 3 Steps involved in it
1 Expert Approved Answer
Step: 1 Unlock
Question Has Been Solved by an Expert!
Get step-by-step solutions from verified subject matter experts
Step: 2 Unlock
Step: 3 Unlock
