Question: Hello! Can you help me with these? Please show me the complete solutions. Thanks! 2 12. Given that x + y = 2x + 4y




Hello! Can you help me with these? Please show me the complete solutions. Thanks!





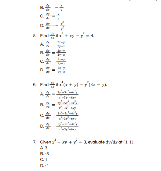
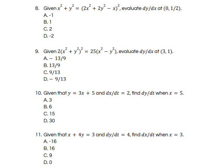
2 12. Given that x + y = 2x + 4y and dx/dt =- 5, find dy/dt when (x, y) = (3, 1). A. 15 B. - 10 C. 3 D. O 13. Let A be the area of a square whose sides have length x, and assume that x varies with the time t. Find an equation that relates dA/dt and dx/dt. dA 2 dx A. EX dt dt dx B. dA = 2x- dt dt C dA = 2 dx dt dt dA 2 D. = 2x dt dt14. Let A be the area of a circle of radius r, and assume that r increases with the time t. Find an equation that relates dA/ dt and dr/dt. A. - dA = 2ur ar dt dt dA 2 dr B. dt dt dA = 21- ar C. - dt dt D dA = 2Tr 2 dr dt dt 15. Let V be the volume of a cylinder having height h and radius r, and assume that h and r vary with time. Find an equation that relates dV /dt, dh/dt, and dr/dt. = T(2r) dr dh dt dt dv dr dh B. dt = (2r)- dt dt dv dh dt dt + 2rh- dr dtASSESSMENT ON IMPLICIT DIFFERENTIATION Instructions: Multiple Choice. Choose the best answer. 1. Implicitly differentiate 9x - y = 1 with respect to x. A. 18x - 2y = 0 B. 18x - 2y-= 0 C. 18x - 2-- = 0 D. 18x - 2y dx dy = 1 2. Implicitly differentiate - + - = 1 with respect to x. A. - _ _ LIZ = 0 y dx B. + 1 dy = 0 v dx 1 D. - 1 dy dr 0 3. Implicitly differentiate xy + 2x + 3x = 4 with respect to x. Axty + 2+ 6x = 0 B.x-ty+ 2+ 6x=0 C. # + 2 + 6x = 0 D.x + 2 + 6x = 0 4. Find ifx +y = 1. A.- dy
Step by Step Solution
There are 3 Steps involved in it
Get step-by-step solutions from verified subject matter experts
