Question: Hello, can you please answer this multiple choice questions. thank you 1. Two (2) individuals with businesses formed a partnership. At what values should their
Hello, can you please answer this multiple choice questions. thank you



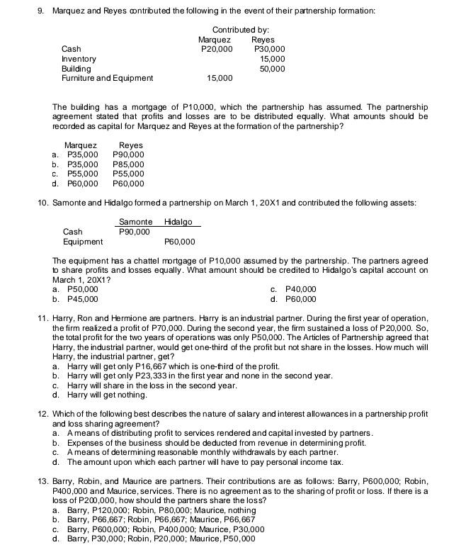
1. Two (2) individuals with businesses formed a partnership. At what values should their non-cash assets be recorded in the partnership books? a. The non-cash assets' book values or fair value at the nvestment date, whichever is higher. b. The non-cash assets' book values or fair value at the nvestment date, whichever is lower. c. The non-cash assets' book values at the date of the investment. d. The non-cash assets' fair value at the date of the investment. 2. Which of the following is a partner who can be liable only up to the extent of his capital contribution? a. Secret partner c. Limited partner b. General partner d. Industrial partner 3. The partnership agreement is included in the articles of partnership, an express contract among the partners. Which of the following is normally not included in such an agreement? a. The rights and duties of the partners in the event of partnership dissolution. b. The profit allocation between the partners. c. Alimitation on a partner's liability to creditors. d. The rights and duties of the partners. 4. Which of the following concepts refers to the ability of a partner to enter into a contract on behalf of all partners? a. Mutual agency c. Unlimited liability b. Voluntary association d. The partnership agreement 5. Which of the following partners contributes only his work, labor or industry to the common fund of the partnership? a. Limited partner c. Industrial partner b. Capitalist partner d. Managing partner 6. At what values should non-cash assets be recorded in the partnership books? a. Fair value c. Carrying value b. Original cost d. Zero 7. A partner contributed a building with a P350,000 carrying value and P500,000 fair value. The partnership assumed the related mortgage payable of P125,000. As a result of the contribution, the partner's capital will be credited at what amount? a. P500,000 c. P375,000 b. P350,000 d. P125,000 8. On May 1,20X1, Basilio and Lim formed a partnership and agreed to share profits and losses in the ratio of 3:7, respectively. Basilio contributed a parcel of land that cost P10,000. Lim contributed P40,000 cash. The land was sold for P18,000 on May 1,20X1, immediately after the formation of the partnership. What amount should be recorded in Lim's capital account on forming the partnership? a. P15,000 c. P10,000 b. P40,000 d. P18,000 9. Marquez and Reyes contributed the following in the event of their partnership formation: The building has a mortgage of P10,000, which the partnership has assumed. The partnership agreement stated that profits and losses are to be distributed equally. What amounts should be recorded as capital for Marquez and Reyes at the formation of the partnership? 10. Samonte and Hidalgo formed a partnership on March 1,20X1 and contributed the following assets: The equipment has a chattel mortgage of P10,000 assumed by the partnership. The partners agreed to share profits and losses equally. What amount should be credited to Hidalgo's capital account on March 1, 20X1? a. P50,000 c. P40,000 b. P45,000 d. P60,000 11. Harry, Ron and Hermione are partners. Harry is an industrial partner. During the first year of operation, the firm realized a profit of P70,000. During the second year, the firm sustained a loss of P20,000. So, the total profit for the two years of operations was only P50,000. The Articles of Partnership agreed that Harry, the industrial partner, would get one-third of the profit but not share in the losses. How much will Harry, the industrial partner, get? a. Harry will get only P16,667 which is one-third of the profit. b. Harry will get only P23,333 in the first year and none in the second year. c. Harry will share in the loss in the second year. d. Harry will get nothing. 12. Which of the following best describes the nature of salary and interest allowances in a partnership profit and loss sharing agreement? a. A means of distributing profit to services rendered and capital invested by partners. b. Expenses of the business should be deducted from revenue in determining profit. c. A means of determining reasonable monthly withdrawals by each partner. d. The amount upon which each partner will have to pay personal income tax. 13. Barry, Robin, and Maurice are partners. Their contributions are as follows: Barry, P600,000; Robin, P400,000 and Maurice, services. There is no agreement as to the sharing of profit or loss. If there is a loss of P200,000, how should the partners share the loss? a. Barry, P120,000; Robin, P80,000; Maurice, nothing b. Barry, P66,667; Robin, P66,667; Maurice, P66,667 c. Barry, P600,000; Robin, P400,000; Maurice, P30,000 d. Barry, P30,000; Robin, P20,000; Maurice, P50,000 14. Partners Gates and Musk receive an interest allowance of P200,000 and P250,000, respectively, and divide the remaining profits and losses in a 3:1 ratio. If the company sustained a loss of P110,000 during the year, what is the effect on Gates' capital? a. P285,000 decrease c. P265,000 decrease b. P95,000 decrease d. P110,000 decrease 15. Trump, Jobs, and Spielberg are partners. Their contributions are Trump, P600,000; Jobs, P400,000 and Spielberg, services. The partners agreed to divide profits or losses into the following percentages: Trump, 35%; Jobs, 25% and Spielberg, 40%. If there is a profit of P 800,000 , how should the profit be distributed among the partners? a. Trump, P600,000; Jobs, P200,000 and Spielberg, nothing. b. Trump, P30,000; Jobs, P20,000 and Spielberg, P50,000 c. Trump, P280,000; Jobs, P200,000 and Spielberg, P320,000 d. Trump, P60,000; Jobs, P40,000 and Spielberg, nothing. 16. Partners Buffet and Stewart receive a salary allowance of P30,000 and P70,000, respectively, and share the remainder equally. If the company earned P50,000 during the period, what is the effect on Stewart's capital? a. P30,000 decrease c. P50,000 increase b. P5,000 increase d. P45,000 increase 17. A partner has a capital balance of P500,000 for five months, P600,000 for four months, and P700,000 for three months. What is the partner's average capital balance? a. P485,000 c. P491,680 b. P583,333 d. P500,000 18. Which of the following is equivalent to a 1:3:2 ratio? a. 10%:30%:20% c. 1/6:1/2:1/3 b. 1/10:3/10:2/10 d. 16.67%:50%:33.33% 19. If the partnership agreement does not specify how profit is allocated, how should profits or losses be allocated? a. Equally b. Following their capital contribution c. In proportion to the average capital invested during the period d. Equitably so that partners are well compensated for their time and effort 20. Which of the following refers to a partner who contributes money or property as well as his work or industry to the capital of the partnership? a. Industrial partner b. Capitalist partner c. Managing partner d. Capitalist-industrial partner
Step by Step Solution
There are 3 Steps involved in it
Get step-by-step solutions from verified subject matter experts
