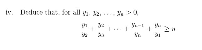
Question: Hello, could someone please help explain how to do parts iii and iv? Thanks Question 8 ? (a) The numbers p, q and s are
Hello, could someone please help explain how to do parts iii and iv?
Thanks


Question 8 ? (a) The numbers p, q and s are fixed and positive. Also p > 1, q > 1 and P= q q- 1 i. What positive value of t minimises the expression 2 f (t) = + p - - st? ii. Show that for all t > 0, SP p 2 st iii. Prove by induction that 4 (172 X . . . X In) S n\f
Step by Step Solution
There are 3 Steps involved in it
Get step-by-step solutions from verified subject matter experts
