Question: Hello Help C++ Question: Given the x and y coordinates of 2 different points, the slope of the line (unless it is vertical) defined by
Hello Help C++ Question:
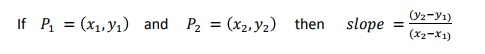
Given the x and y coordinates of 2 different points, the slope of the line (unless it is vertical) defined by the points can be computed as shown below.

If the slope is
equal to 0, then the line is horizontal
positive, then the line is increasing
negative, then the line is decreasing If the slope is not defined (cannot be computed) the line is vertical.
If the 2 points are the same, they do not define a line.
Design and implement a complete C++ program that will
display your name, lecture and lab section #s, and exercise #
interactively prompt for and read 2 integers that represent the x and y coordinates of P1
interactively prompt for and read 2 integers that represent the x and y coordinates of P2
display (to the screen) the input values with appropriate labels and an appropriate message that indicates whether the points define a line
if they define a line,
the line's slope (except for vertical lines)
what type of line (horizontal, vertical, increasing, or decreasing)
an increasing line has a positive slope
a decreasing line has a negative slope
display slopes with 4 digits to the right of the decimal
Assume that the 4 input values will be integers (positive, negative, or zero).
Choose appropriate data sets to test your program. The 3 samples shown below are NOT enough to verify that the program meets all requirements.

If P1=(xi.y.) and = (X2,Y2) =(x2-y1) P then slope
Step by Step Solution
There are 3 Steps involved in it
Get step-by-step solutions from verified subject matter experts
