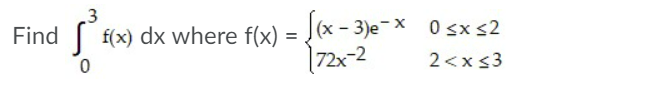
Question: Hello, I am having difficulty answering this homework question, hope you can help, will give thumbs up. Thanks for everything! 3 Find f(x) dx where

Hello, I am having difficulty answering this homework question, hope you can help, will give thumbs up.
Thanks for everything!

3 Find f(x) dx where f(x) = ] (x - 3)e-x 0sx$2 0 72x-2 2
Step by Step Solution
There are 3 Steps involved in it
Get step-by-step solutions from verified subject matter experts
