Question: Hello, I am having trouble with this homework problem for my Calc 2 class. I have provided an example of what is being asked to
Hello, I am having trouble with this homework problem for my Calc 2 class. I have provided an example of what is being asked to follow in the snip.

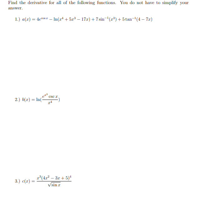
Find the derivative for all of the following functions. You do not have to simplify your answer. 1.) a(x) = 4ecosx - In(24 + 5x3 - 17x) + 7sin-1(23) + 5tan-1(4 - 7x) 2.) b(a) = In(- CSCI 3.) c(x) - "(4 - 3r + 5)4 vsin r
Step by Step Solution
There are 3 Steps involved in it
Get step-by-step solutions from verified subject matter experts
