Question: Hello, I have a thermodynamics II final project using the VBA program in excel to find the dew temperature and liquid compositon then , make
Hello, I have a thermodynamics II final project using the VBA program in excel to find the dew temperature and liquid compositon then , make the txy diagram with resulted data on excel.
I desperately need you guys help..
Quesiton. I want to know the VBA code in excel to calculate the DEW T and x(liquid) composition and I have to make the Txy block diagram in excel.
Here is given information/condition below.
- pressure : 760mmHg
- y(vapor) composition : 0.4
- binary-component: (1) 2-Methyl-1-Propanol , (2) 2-Chloroethanol
- use the modified Raoult's law formation
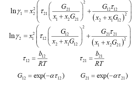
- use NRTL equation as GE model (for binary composition)


ln1=x22(21(x1+x2G21G21)2+(x2+x1G12)2G1212)ln2=x12(12(x2+x1G12G12)2+(x1+x2G21)2G2121)12=RTb1221=RTb21G12=exp(12)G21=exp(21) Data sheet log10Pisat[mmHg]=AT[C]+CBR=1.98721cal/molK
Step by Step Solution
There are 3 Steps involved in it
Get step-by-step solutions from verified subject matter experts
