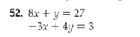
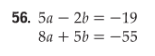
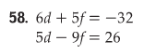
Question: Hello, I hope all is well. Please I need help with these questions. Can you please help? Solve each system of equations by using substitution
Hello, I hope all is well. Please I need help with these questions. Can you please help?
Solve each system of equations by using substitution







Step by Step Solution
There are 3 Steps involved in it
Get step-by-step solutions from verified subject matter experts
