Question: Hello i need help on posting the transactions to correct journals. Please post all transactions to correct journals. for example like cash receipts, Cash payable,
Hello i need help on posting the transactions to correct journals. Please post all transactions to correct journals. for example like cash receipts, Cash payable, General journal, Purchases Journal and so forth. I am unable to provide you any journals. When you post the transactions in journal then please write on top which journal it is. Please give me correct answers and not the wrong answers. Also please write clean. When you post in the journals then when you record the transactions then please say for example like: To record supplies purchased on account something like that.
If any other queries then please leave it in the comments. If anything is missing then please let me know in comments. You dont need to fill out the subsidiary ledger and general ledger. I will do that. I am attaching additional images at the end because i dont know which image you need for each form if you need them. And please show me how you solve the problem. On Some of them you need to write on the image so please do that like For example Form 11. Thank you.
Monday, December 5, 20XX
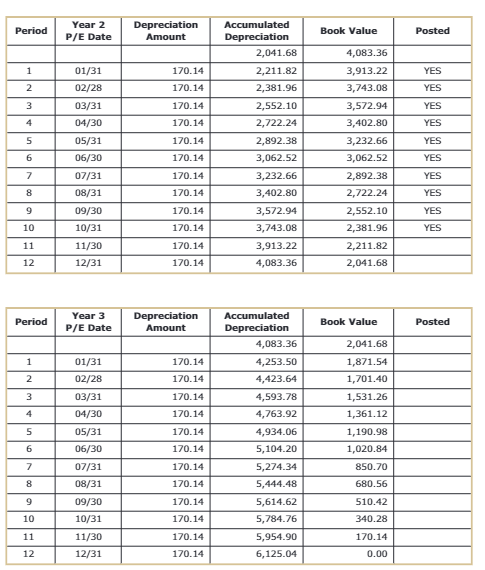
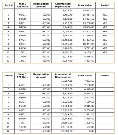
- Billie Redmond sold one wine rack to Michael's Furniture in the total amount of $1,325.00 on account (Form 8). Make a journal entry to record the sale and make a journal entry to remove the cost of the wine rack from inventory and put it to COGS. You should also adjust the Merchandise Inventory Valuation whenever you make a journal entry that affects the Merchandise Inventory account. This acts as a check. The balance on the valuation should be the balance of the G/L account. Both should be the same balance as the inventory valuation when a physical inventory is done at the end of the accounting period.











Step by Step Solution
There are 3 Steps involved in it
Get step-by-step solutions from verified subject matter experts
