Question: Hello! I need help with my calculus homework! Thanks in advance! Problem 3.2: One-sided limits. a) Find the indicated one-sided limit. If the limiting value
Hello!
I need help with my calculus homework! Thanks in advance!





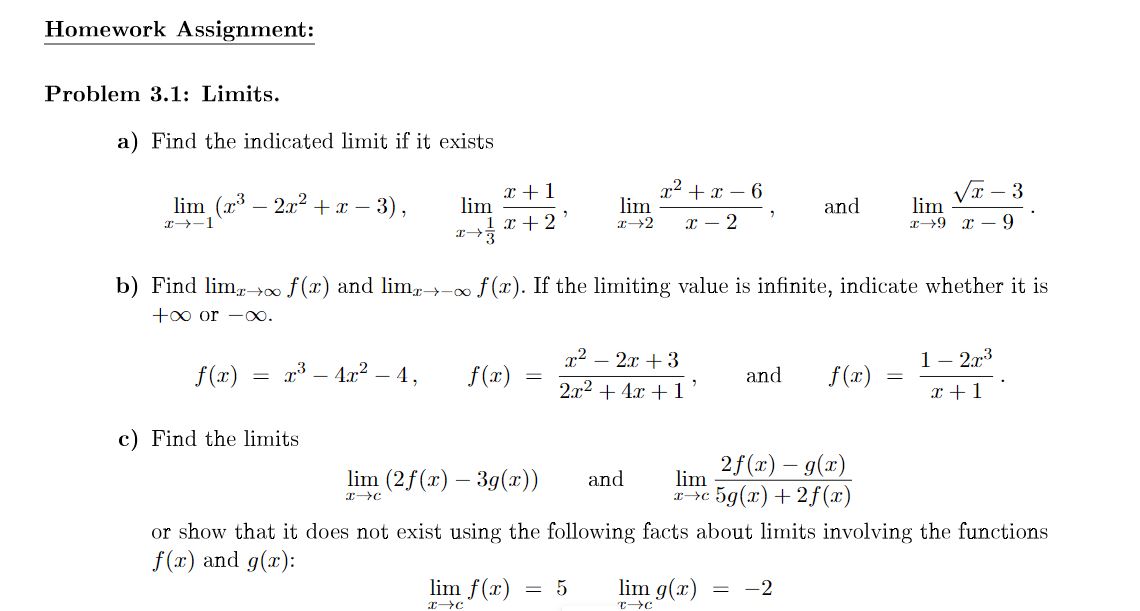
Problem 3.2: One-sided limits. a) Find the indicated one-sided limit. If the limiting value is infinite, indicate whether it is too or -0. lim (3.x2 - 9) , T - VT /2x - 1 - 3 lim and lim - 5 b) Find the one-sided limits lime->3- f(x) and lime->3+ f(x), where f (x) = 2.x2 - X if x 3 If the limiting value is infinite, indicate whether it is too or -00. c) Find the one-sided limits lim,-1- f(x) and lime-+ f(x), where if x 2 0} List all the. values of :1: for which the given functions is not continuous. 1%) = $55-$31 it) = aswellss 239: ifI (1? Interpret these results. h) Alicia, the manager of a plant, determines that when 3% of the plant's capacity is being used, the total cost of Operation is C thousand GEL, where 83:2 636:: 320 C(37) = m2 68:1: 960 .I: I u- nlluunynuu HILL-LIL: Lbumuu. l3) AJieia, the manager of a plant, determines that when 5% of the plant's capacity is being used, the total cost of operation is ('3' thousand GEL, where 83:2 3I 320 3:2 68:: 960 ' The company has a policy of rotating maintenance in an attempt to ensure that approxie mately 80% of capacity is always in use. C(55) = (i) What cost should Alicia expect when the plant is operating at this ideal capacity? (ii) Find Gin] and (3110(1). (iii) Explain why Alicia cannot use the result of part (ii) along with the intermediate value property to conclude that the cost of operation is exactly 700000 GEL when a certain percentage of plant capacity is being used. c) In certain situations, it is necessary to weigh the benet of pursuing a certain goal against the cost of achieving that goal. For instance, suppose that to remove 12% of the pollution from an oil spill, it costs (3' thousands of GEL, where (i) How much does it cost to remove 25% of the pollution? 50%? (ii) Sketch the graph of the cost function. (iii) What happens as :r } 100? Is it poE Zoom remove all the pollution
Step by Step Solution
There are 3 Steps involved in it
Get step-by-step solutions from verified subject matter experts
