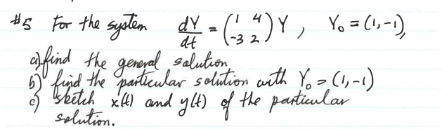
Question: Hello I need help with this question #5 For the system dy ( 3 2 ) Y , Yo = (1, -1) at )find the
Hello
I need help with this question

#5 For the system dy ( 3 2 ) Y , Yo = (1, -1) at ")find the general solution find the particular solution with Yo= ( 1 , - 1 ) "sketch xAll and y(1) of the particular solution
Step by Step Solution
There are 3 Steps involved in it
Get step-by-step solutions from verified subject matter experts
