Question: Hello im really struggling with statistics. pls help me with this practice question. im so losttt... thank you so muchh Is your overall satisfaction with



Hello im really struggling with statistics. pls help me with this practice question.
im so losttt...
thank you so muchh
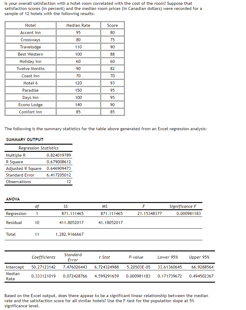
![that satisfaction scores {in percent] and the median room prices {in Canadian](https://s3.amazonaws.com/si.experts.images/answers/2024/06/6678abc0ac3cf_3206678abc086657.jpg)



Is your overall satisfaction with a hotel room correlated with the cost of the room? Suppose that satisfaction scores {in percent] and the median room prices {in Canadian dollars} were recorded for a sample of 12 hotels with the following results: Hotel I Median Rate Score Accent Inn I 95 80 Crossways I 80 25 Travelod ge | 110 90 Best Western I 100 88 Holiday Inn | on 60 Twelve Months | 90 32 Coast Inn | 20 70 Motel 6 | 120 93 Paradise | 150 95 Days Inn | 100 95 Econo Lodge | 140 90 Comfort Inn | 35 35 The following is the summary statistics for the table above generated from an Excel regression analysis: SUMMARY OUTPUT Regression Statistics Multiple R 0. 82401 9289 R Square 0.629008612 Adjusted R Square 0.646909423 Standard Error 6.412205012 Observations 12 ANOVA df 55 MS F Significance F Regression 1 821.111465 821.111465 21.15348322 0.000981183 Residual 10 41 1.8052012 41 .18052012 Total 11 1,282.9166662 Coefficients Standard t Stat Pvalue Lower 95% Upper 95% Error Intercept 50.22123142 2.426026443 6.2243249 88 5.20503E-05 33.61360645 66. 9288564 :32.\" 0. 33312101 9 0.022428266 4. 599291659 0.000981183 0.121239622 0.494502362 Based on the Excel output, does there appear to be a significant linear relationship between the median rate and the satisfaction score for all similar hotels? Use the F-test for the population slope at 596 significance level. {a} State the null and alternative hypotheses, and identify which one is the claim. Which one is the claim: 0H1 0H0 For part (b), round your answer to 5 decimal places. {b} What is the test Pvalue that should he used in your hypothesis test? :] {c} Is the null hypothesis rejected? 0 No 0 Yes {d} Is the claim supported? 0 Yes, there is sufficient evidence to support the claim that there is a significant linear relationship between the median rate and the satisfaction score for all similar hotels. 0 No, there is not sufficient evidence to support the claim that there is a significant linear relationship between the median rate and the satisfaction score for all similar hotels.
Step by Step Solution
There are 3 Steps involved in it
Get step-by-step solutions from verified subject matter experts
