Question: Hello, need help with this question Thank You Find all critical numbers and use the Second Derivative Test to classify each as the location of


Hello,
need help with this question
Thank You


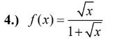
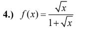
Find all critical numbers and use the Second Derivative Test to classify each as the location of a relative maximum, relative minimum or neither. 4.) f ( x ) = 1+ Vx
Step by Step Solution
There are 3 Steps involved in it
Get step-by-step solutions from verified subject matter experts
