Question: Hello! So I have a question, I've already started it but I'm not quite sure how to continue or well I'm not sure if what
Hello! So I have a question, I've already started it but I'm not quite sure how to continue or well I'm not sure if what I have if correct so far. Below is the question and after is my process.


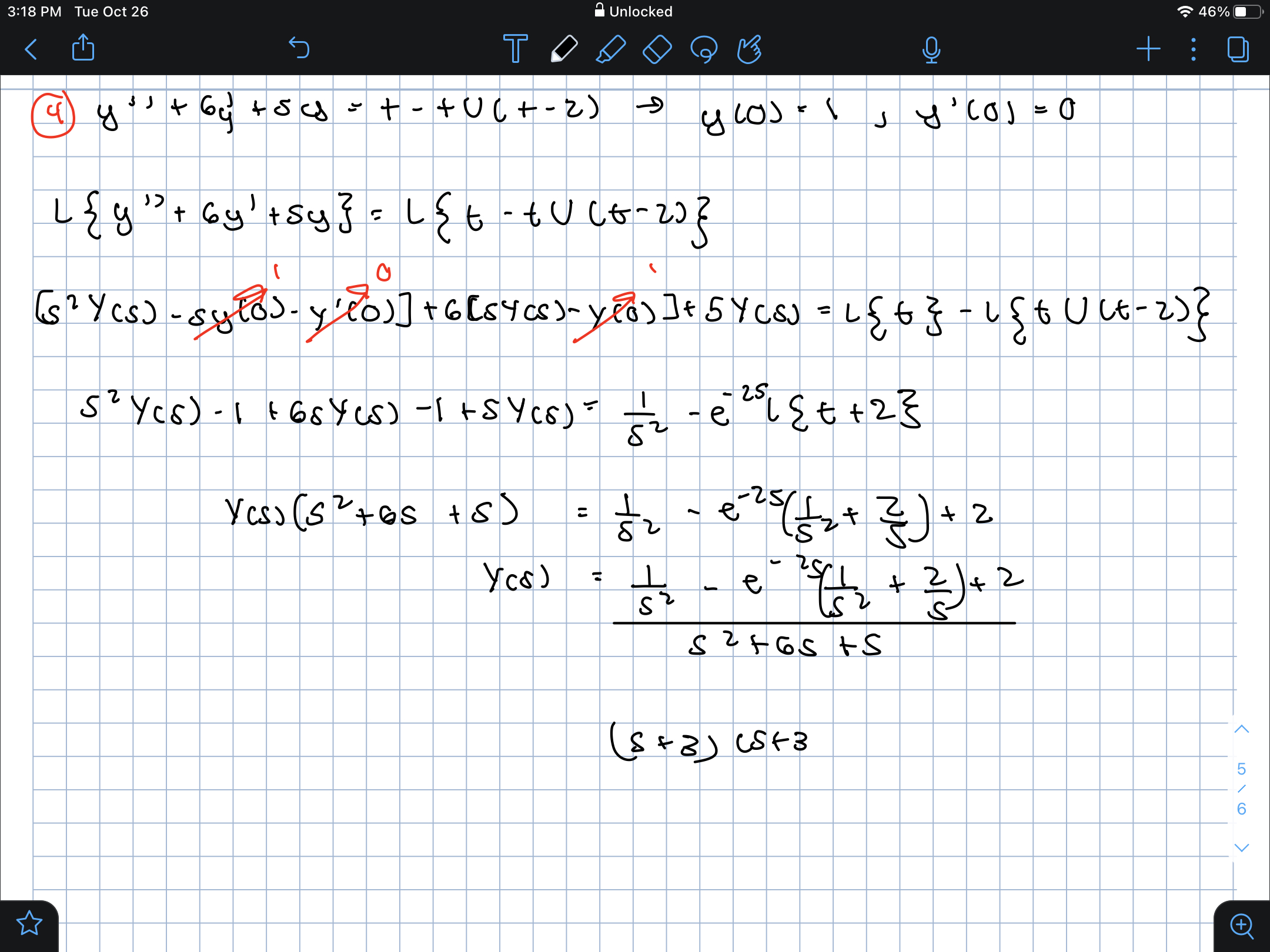
3:18 PM Tue Oct 26 Unlocked 46% L { y " + 6 y ' t s y ] = L S t - t U ( 6 - 2 2 8 ( s ? Y c s ) - s y to s . y ' t o ) ] + 6 [ s y c s ) - y lo > ] + 5 Y c s j = L S 6 3 - L s t U ct - z>? s ' yes ) - 1 6 8 7 ( s ) -1+sy (s)- Yes) (5 + 65 + 8 ) ( 5 2 + 2 ) + 2 Ycd) 2 ) + 2 SZ fos +S ( S + 3 ) ( S + 3 +
Step by Step Solution
There are 3 Steps involved in it
Get step-by-step solutions from verified subject matter experts
