Question: Hello tutor, could you assist by solving the questions below. Thank you fdy Use implicit differentiation to find dr given 9x + 7xy + 7y'
Hello tutor, could you assist by solving the questions below. Thank you






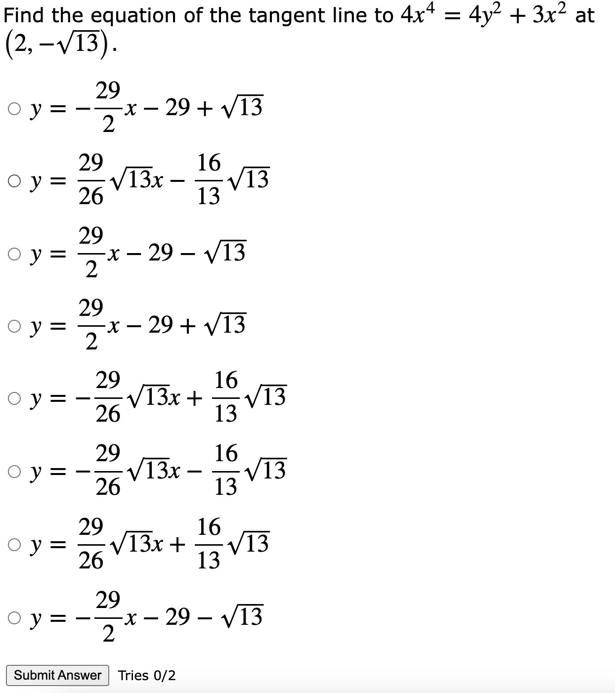
\fdy Use implicit differentiation to find dr given 9x + 7xy + 7y' = 9. dy dx Submit Answer Tries 0/99\fFind the equation of the tangent line to 4x4 = 4y- + 3x2 at (2, -V13) . 29 Oy= 2 x - 29 + V13 29 16 O y = 26 V13x - 13 V13 29 Oy= 2 x - 29 - V13 29 Oy= 2 x - 29 + V13 29 O y = 16 26 V13x+ 13 V13 29 Oy = 16 26 13x 13 V13 29 Oy = 16 V13x+ 26 V13 13 29 Oy= 2 x - 29 - V13 Submit Answer Tries 0/2Use implicit differentiation to find the slope of the tangent line to 2 7 at (1, - the graph of 30 x by dy dx 30 Submit Answer Tries 0/99Use implicit differentiation to find the slope of the tangent line to the graph of Sx/E + 7\" = 12 at (%,1). mes 0/99
Step by Step Solution
There are 3 Steps involved in it
Get step-by-step solutions from verified subject matter experts
