Question: HELP! desperately need help checking my work on these practice problems The largest IPOs in USA as of July 2020 Uber's IPO Uber Technologies, Inc.,

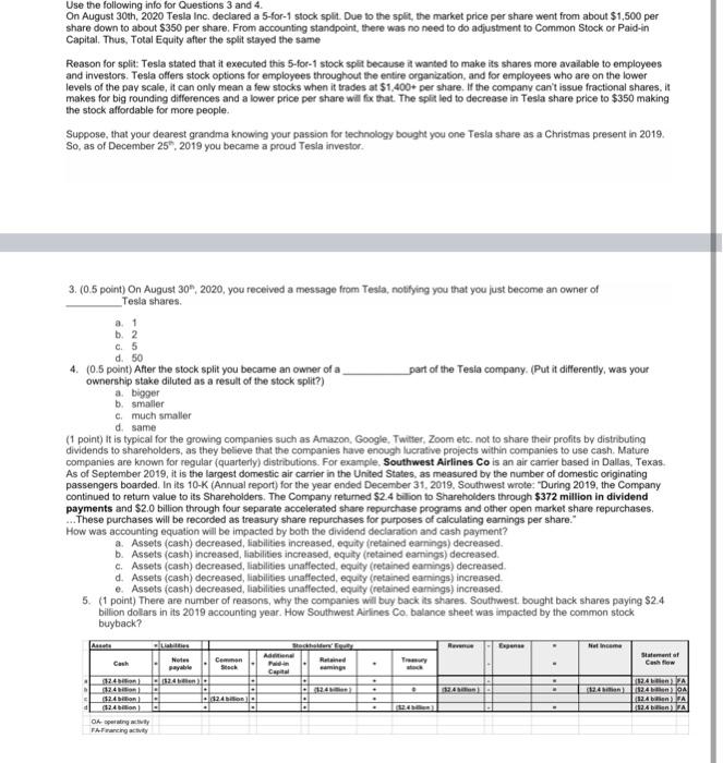
The largest IPOs in USA as of July 2020 Uber's IPO Uber Technologies, Inc., commonly known as Uber, offers vehicles for hire, food delivery, package delivery.couriers, freight transportation, and through a partnership with Lime, electric bicycle and motorized scooter rental Uber raised $8.1 billion from 's IPO in 2019. Initial public offering (IPO) or stock market launch colloquially known as going public, is a process for a privately held company to be transformed into the public company Questions 1. (0.5 point) How was Uber's balance sheet impacted by the Initial Public Offering common stock issuance2 Anasta Lab Stockholders' Equity Cash Account Common Retained of Cashew payable Stock 18.1 MB 18.7 HORA 381 on 13.1 H SIFA 21 DEH OA FA France 2. (0.5 point) How was accounting equation impacted by the stock issuance? a Assets increased, liabilities increased, equity increased b. Assets increased liabilities unaffected, equity increased C Assets increased, liabilities increased, equity unaffected d. Assets decreased, labilities unaffected equity increased 3. (0,5 point) Did IPO directly affect Uber's operating income? Yes No 4. (0.5 point) Uber is obligated to pay back money raised as a result of the IPO (Initial Public Offering) in full to investors at a specified day: Yes No Use the following info for Questions 3 and 4 On August 30th, 2020 Tesla Inc. declared a 5-for-1 stock split. Due to the split, the market price per share went from about $1,500 per share down to about $350 per share. From accounting standpoint, there was no need to do adjustment to Common Stock or Paid-in Capital. Thus, Total Equity after the split stayed the same Reason for split: Tesla stated that it executed this 5-for-1 stock split because it wanted to make its shares more available to employees and investors. Tesla offers stock options for employees throughout the entire organization, and for employees who are on the lower levels of the pay scale, it can only mean a few stocks when it trades at $1.400per share. If the company can't issue fractional shares. It makes for big rounding differences and a lower price per share will fix that. The split led to decrease in Tesla share price to $350 making the stock affordable for more people. Suppose, that your dearest grandma knowing your passion for technology bought you one Tesla share as a Christmas present in 2019. So, as of December 25, 2019 you became a proud Tesla investor 3. (0.5 point) On August 30, 2020, you received a message from Testa, notifying you that you just become an owner of Tesla shares a. 1 b. 2 C5 d. 50 4. (0.5 point) After the stock split you became an owner of a part of the Tesla company. (Put it differently, was your ownership stake diluted as a result of the stock split?) a bigger b. smaller cmuch smaller d. same (1 point) it is typical for the growing companies such as Amazon Google. Twitter, Zoom etc. not to share their profits by distributing dividends to shareholders, as they believe that the companies have enough lucrative projects within companies to use cash Mature companies are known for regular (quarterly) distributions. For example, Southwest Airlines Co is an air carrier based in Dallas, Texas As of September 2019, it is the largest domestic air carrier in the United States, as measured by the number of domestic originating passengers boarded. In its 10-K (Annual report) for the year ended December 31, 2019. Southwest wrote: "During 2019, the Company continued to return value to its Shareholders. The Company returned $2.4 bilion to Shareholders through $372 million in dividend payments and $2.0 billion through four separate accelerated share repurchase programs and other open market share repurchases. These purchases will be recorded as treasury share repurchases for purposes of calculating earnings per share." How was accounting equation will be impacted by both the dividend declaration and cash payment? a. Assets (cash) decreased, liabilities increased equity (retained earnings) decreased b. Assets (cash) increased, liabilities increased, equity (retained earnings) decreased. C. Assets (cash) decreased, liabilities unaffected equity (retained eamings) decreased d. Assets (cash) decreased, liabilities unaffected, equity (retained eamings) increased e Assets (cash) decreased, liabilities unaffected equity (retained earnings) increased 5. ( point) There are number of reasons why the companies will buy back its shares. Southwest bought back shares paying $24 billion dollars in its 2019 accounting year. How Southwest Airlines Co. balance sheet was impacted by the common stock buyback? Rene Note Cash Con Try Stockholfonso Ad Rated Capital CH Statements Cashflow 24. L2 1124 10 124 132.4 bilion Opera 24 124 124 OM 12A 12. bio 1024 2. The largest IPOs in USA as of July 2020 Uber's IPO Uber Technologies, Inc., commonly known as Uber, offers vehicles for hire, food delivery, package delivery.couriers, freight transportation, and through a partnership with Lime, electric bicycle and motorized scooter rental Uber raised $8.1 billion from 's IPO in 2019. Initial public offering (IPO) or stock market launch colloquially known as going public, is a process for a privately held company to be transformed into the public company Questions 1. (0.5 point) How was Uber's balance sheet impacted by the Initial Public Offering common stock issuance2 Anasta Lab Stockholders' Equity Cash Account Common Retained of Cashew payable Stock 18.1 MB 18.7 HORA 381 on 13.1 H SIFA 21 DEH OA FA France 2. (0.5 point) How was accounting equation impacted by the stock issuance? a Assets increased, liabilities increased, equity increased b. Assets increased liabilities unaffected, equity increased C Assets increased, liabilities increased, equity unaffected d. Assets decreased, labilities unaffected equity increased 3. (0,5 point) Did IPO directly affect Uber's operating income? Yes No 4. (0.5 point) Uber is obligated to pay back money raised as a result of the IPO (Initial Public Offering) in full to investors at a specified day: Yes No Use the following info for Questions 3 and 4 On August 30th, 2020 Tesla Inc. declared a 5-for-1 stock split. Due to the split, the market price per share went from about $1,500 per share down to about $350 per share. From accounting standpoint, there was no need to do adjustment to Common Stock or Paid-in Capital. Thus, Total Equity after the split stayed the same Reason for split: Tesla stated that it executed this 5-for-1 stock split because it wanted to make its shares more available to employees and investors. Tesla offers stock options for employees throughout the entire organization, and for employees who are on the lower levels of the pay scale, it can only mean a few stocks when it trades at $1.400per share. If the company can't issue fractional shares. It makes for big rounding differences and a lower price per share will fix that. The split led to decrease in Tesla share price to $350 making the stock affordable for more people. Suppose, that your dearest grandma knowing your passion for technology bought you one Tesla share as a Christmas present in 2019. So, as of December 25, 2019 you became a proud Tesla investor 3. (0.5 point) On August 30, 2020, you received a message from Testa, notifying you that you just become an owner of Tesla shares a. 1 b. 2 C5 d. 50 4. (0.5 point) After the stock split you became an owner of a part of the Tesla company. (Put it differently, was your ownership stake diluted as a result of the stock split?) a bigger b. smaller cmuch smaller d. same (1 point) it is typical for the growing companies such as Amazon Google. Twitter, Zoom etc. not to share their profits by distributing dividends to shareholders, as they believe that the companies have enough lucrative projects within companies to use cash Mature companies are known for regular (quarterly) distributions. For example, Southwest Airlines Co is an air carrier based in Dallas, Texas As of September 2019, it is the largest domestic air carrier in the United States, as measured by the number of domestic originating passengers boarded. In its 10-K (Annual report) for the year ended December 31, 2019. Southwest wrote: "During 2019, the Company continued to return value to its Shareholders. The Company returned $2.4 bilion to Shareholders through $372 million in dividend payments and $2.0 billion through four separate accelerated share repurchase programs and other open market share repurchases. These purchases will be recorded as treasury share repurchases for purposes of calculating earnings per share." How was accounting equation will be impacted by both the dividend declaration and cash payment? a. Assets (cash) decreased, liabilities increased equity (retained earnings) decreased b. Assets (cash) increased, liabilities increased, equity (retained earnings) decreased. C. Assets (cash) decreased, liabilities unaffected equity (retained eamings) decreased d. Assets (cash) decreased, liabilities unaffected, equity (retained eamings) increased e Assets (cash) decreased, liabilities unaffected equity (retained earnings) increased 5. ( point) There are number of reasons why the companies will buy back its shares. Southwest bought back shares paying $24 billion dollars in its 2019 accounting year. How Southwest Airlines Co. balance sheet was impacted by the common stock buyback? Rene Note Cash Con Try Stockholfonso Ad Rated Capital CH Statements Cashflow 24. L2 1124 10 124 132.4 bilion Opera 24 124 124 OM 12A 12. bio 1024 2
Step by Step Solution
There are 3 Steps involved in it
Get step-by-step solutions from verified subject matter experts
