Question: Help me fix the errors, and write 2-3 sentences to explain each small problem. The pen in bold is I have fixed it, but I
Help me fix the errors, and write 2-3 sentences to explain each small problem. The pen in bold is I have fixed it, but I am not very sure. And this chapter is thermodynamics

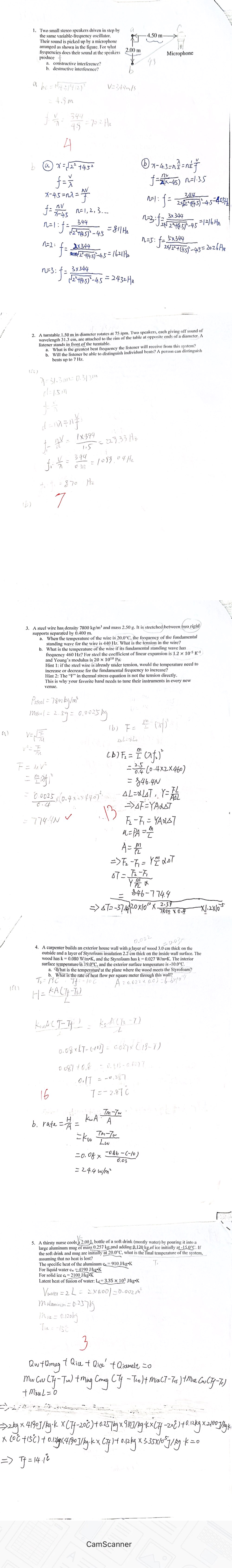
. Two small stereo speakers driven in s Their sound is picked up by a microphone $4.50 m- frequencies does their said at the speakers 2.00 m Produce Microphone a. constructive interference 43 I destructive interference? V= 34 4/s 45 4 (= 20 - 45 ) 1 = 1:35 1- 45= 127 = 24 n= 1: ITAS - 45 = 8/1H "3 JIN 2-74.51-45 =1216 HE n=5: f=5x344 2 #7-14.5)-45=1621H J DX2'+( 45)- 415 =202 6 He n=3: f= 3x344 (2 +(4.5)-45=2432H2 2. A turntable 1.50 m in formelcher's the time of the table at opposite ends of a diameter. A listener stands in front of the turnable. B. Will the listener be able to distinguish individual beats? A person can dis eats up to 7 112. 2: 31.3mm: 0.313m dement 1- 24 - 1x349 - 223.33 Hs - 870 He 7 density 7800 ke/m' and mass 2.50 g. It is stretched between two rigid 3. When the temperature of the wire is 20."C, the frequency of the fundamental b. What is the temperature of the wire if its fundamental standing wave has frequency 460 127 For steel the coefficient of linear expansion is 1.2 x Hint 1: if the steel wire is already under tension, would the temperature increase or decrease for the fundamental frequency to increase? This is why your favorite band needs to tune their instruments in every new Psteel = 78 Pokg/m' more ( = 2. 59 = 0.0025 pg (b) F = = ( x ) VENG Cb ) F. = I cat. ) F= ur = 6.4 (0-4x2x460 ) = $46.4N 60025 x(0.4 x - 4 40 ) AL= LT .. Y= - 774. 4NV 13 = > OF= YALST F2 - FI = YAX7 A = PAZ A= $ 846 - 774.4 =>AT2-374 20x10 X 7808 X0.4 A carpenter builds an exterior house wall with a layer of wood 3.0 cm thick on the wood has k - 0.080 W/m.K, and the Styrofoam has & = 0.027 W/m-K. The interior a. What is the temperature at the plane where the wood meets the Styrofoam T - Do What is the rate of heat flow per square meter through H= FACT-71) KUACT - Ty ! = Ks A Ch- 1 ) 0.08 * [T-(10) = C.027x ( 18-1 ) 0 087 + 0.4 - 0.1 12-0 0217 01/T = - 0.287 7 = - 287 0 Tm -7w b. rate = A = " LW = 0.08 x -0.86 - (-10 ) = 24.4 W/m' 5. A thirsty nurse cools a 2.00 1. bottle of a soft drink (mostly water) by pouring intoa the soft drink and mung are initially at 20.0"C . what is the final temperature of the system , assuming that no heat is lost? Latent heat of fusion of water. L.(- 3.35 x 102 1/kg-K Vinter = 2 2 = 2 X0.00/ =0.002/h malinminion = 0.25715 Iniz = 0.12087 Tia : - 150 Qu+ 0mug + Rice + Rice' + Qiamelt = 0 MW Cov ( Ty - Tre) + Ming Conag CTy - Tcolt MiceCT - Tus ) + Mace Cow (Ty - To ) + miceL = 0 -> 2 kg x 4190]/kg-K X (Tf- 206) +0.25 7 kg x 9107/ kg-KX (If- 20() + 0. 12kg x 2100 J/ly x (OC + 15 () +0.12/gx 4130 7/kg- Kx (T/ 1+ 0-12 kg x 3.35x/0- ]/ Rg *=0 TH = 14 16 CamScanner
Step by Step Solution
There are 3 Steps involved in it
Get step-by-step solutions from verified subject matter experts
