Question: Help me with questions 2 to 20. Only right side questions! Thanks Find the indefinite integral or evaluate the definite integral. 1) dx 2 )

Help me with questions 2 to 20. Only right side questions! Thanks

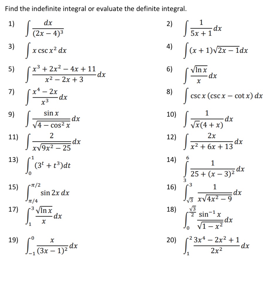
Find the indefinite integral or evaluate the definite integral. 1) dx 2 ) 1 (2x - 4)3 5x + 1 - dx 3) x csc x2 dx 4) (x + 1)v2x -Idx 5) x3+ 2x2 - 4x + 11 6) VIn x x2 - 2x + 3 -dx dx X 7) x4 - 2x 8) -dx cscx (cscx - cot x) dx x3 9) sin x 10) 1 dx dx V4 - COs2 x Vx(4+ x) 11) 2 12) 2x dx xv9x2 - 25 x2 + 6x + 13 dx 13) ( 3* + + 3 ) dt 14) 1 25 + (x - 3)2 ax 15) TE /2 16) 1 sin 2x dx dx J It / 4 3 XV4x2 -9 17) VIn x 18) dx N sin 1 x 1 X =dx V1 - x2 19) X 20) (2 3x4 - 2x2+ 1 - dx (3x - 1)2 dx 2x2
Step by Step Solution
There are 3 Steps involved in it
1 Expert Approved Answer
Step: 1 Unlock
Question Has Been Solved by an Expert!
Get step-by-step solutions from verified subject matter experts
Step: 2 Unlock
Step: 3 Unlock
