Question: Help please. Please make sure that the final answer is correct Exercises After carefully now studying more component-level design it is worth designing the Caldera
Help please. Please make sure that the final answer is correct


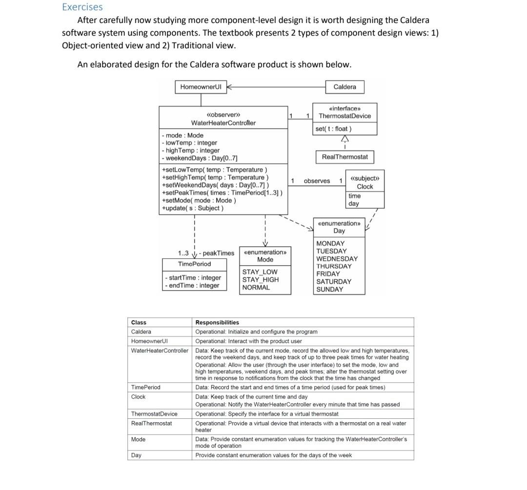
Exercises After carefully now studying more component-level design it is worth designing the Caldera software system using components. The textbook presents 2 types of component design views: 1) Object-oriented view and 2) Traditional view. An elaborated design for the Caldera software product is shown below. 1. Design a component for the WaterHeaterController using the Class design similar to Fig. 11.1 in the text book for the PrintJob class. Note that the only Interface provided is for the HomeownerUI as the WaterHeaterController uses the interfaces of the other Classes. Design a component structure chart for the Caldera Water Heater using the traditional view. In this case you will have to define a few control components and include the infrastructure component such as the Thermostat. This diagram is similar to Fig. 11.2 in the text book for the Job Management System. Elaborate further one of the problem domain controllers such as setMode
Step by Step Solution
There are 3 Steps involved in it
Get step-by-step solutions from verified subject matter experts
