Question: HELP PLEASE The Kapala Construction Company is building the new Kona Country Club Villas project. consisting of 18 buildings, each bousing 10 condomintums. Each building




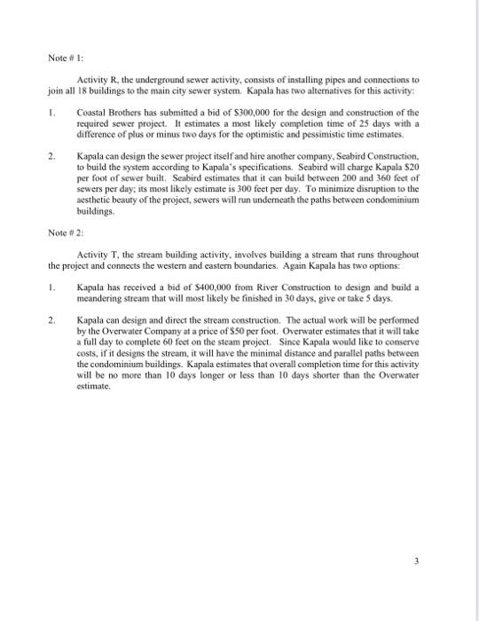
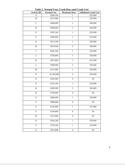
The Kapala Construction Company is building the new Kona Country Club Villas project. consisting of 18 buildings, each bousing 10 condomintums. Each building will border the Kona Country Club golf course designed by Amold Palmer. The minimum price for a condominium unit is $275,000, and buyers expect a high-quality project. Response to the initial promotion was so great that Kapala Construction pre-sold all 180 units based solely on an artist's conception and schematic plans of the project. One reason for the quick sellout may bave been the "YOU CAN MOVE IN BY SUMMER*" campaign. As part of this campaign. Kapala promised rebates of $10,000 cash to all 180 buyers if all the facilities, buildings and other amenities were not completod by June 15 of next year. As of September 15, the project is well underway. Table 1 provides the details concerning the tasks remaining to be completed in the project. All tasks except for Activity R, the underground sewer activity, and Activity T, the stream building activity, have been assigned to the appropriate subcontructors. The company has already incurred costs in the amount of $30,000,000 (c.g., land costs, ete.). Table 2 shows the list of activities remaining with the nommal cost given for each activity, the maximum amount by which any activity can be crashed, and the additional cost of crashing that activity by the amount shown. Assume that today is Monday, September 15, and that all work is to be done on a five-dayper-week basis that includes holiday peniods [a.c. assume a total of 195 days to complete project]. Refer to Table 3. As one consideration, recommend whether to spend $25,000 for additional legal assistance that would reduce the most likely time to attain the final permits and releases (Z) from 15 to 12 days and its pessimistic time from 25 to 18 days. The Project Manager has been requested to review the tasks and desired dates and prepare a report on the feasibility of the time line. As part of the report to management conceming the scheduling of activities, consider including visual aids and discussing specific probabilities. For example, you would want to include: 1. A Gantt chart for the activities and explanation of its use. 2. The network (PERT) diagram. 3. Explanation of the time it will take to complete the project with the normal times given (i.e., establish a baseline time). 4. Based upon the baseline projections and alternatives, discuss the probabilities of completing the project at various times and the cost consequences. 5. Use the expected time activities time you calculate as the normal times and the crash times as shown in Table 2. 6. Prepare a cash flow chart for your recommended alternative. If the cost of money is 10%, what would you recommend with respect to early-start versus late-start? 7. Suggest other factors which might influence your decision. Table 1: Remaining Activities (Immediate Predecessors \& Time Estimates) 2 Note H 1: Activity R, the underground sewer activity, consists of installing pipes and connections to join all 18 buildings to the main city sewer system. Kapala has two altematives for this activity: I. Coastal Brothers has submitted a bid of $300,000 for the design and construction of the required sewer project. It estimates a most likely completion time of 25 days with a difference of plus or minus two days for the optimistic and pessimistic time estimates. 2. Kapala can design the sewer project itself and hire another company, Seabird Construction, to build the system according to Kapala's specifications. Seabird will charge Kapala $20 per foot of sewer built. Seabird estimates that it can build between 200 and 360 feet of sewers per day; its most likely estimate is 300 feet per day. To minimize disruption to the aesthetic beauty of the project, sewers will run undemeath the paths between condominium buildings. Note \# 2: Activity T, the stream building activity, involves building a stream that runs throughout the project and connects the western and eastem boundaries. Again Kapala has two options: 1. Kapala has received a bid of $400,000 from River Construction to design and build a meandering stream that will most likely be finished in 30 days, give or take 5 days. 2. Kapala can design and direct the stream construction. The actual work will be performed by the Overwater Company at a price of $50 per foot. Overwater estimates that it will take a full day to complete 60 feet on the steam project. Since Kapala would like to conserve costs, if it designs the stream, it will have the minimal distance and parallel paths between the condominium buildings. Kapala estimates that overall completion time for this activity will be no more than 10 days longer or less than 10 days shorter than the Overwater estimate. Table 2. Normal Cost, Crash Days and Crash Cost 4 Exhibit 1 is a map of the feasible pathways between the condominium buildings which may be used for sewer construction or stream construction. The Kapala Construction Company is building the new Kona Country Club Villas project. consisting of 18 buildings, each bousing 10 condomintums. Each building will border the Kona Country Club golf course designed by Amold Palmer. The minimum price for a condominium unit is $275,000, and buyers expect a high-quality project. Response to the initial promotion was so great that Kapala Construction pre-sold all 180 units based solely on an artist's conception and schematic plans of the project. One reason for the quick sellout may bave been the "YOU CAN MOVE IN BY SUMMER*" campaign. As part of this campaign. Kapala promised rebates of $10,000 cash to all 180 buyers if all the facilities, buildings and other amenities were not completod by June 15 of next year. As of September 15, the project is well underway. Table 1 provides the details concerning the tasks remaining to be completed in the project. All tasks except for Activity R, the underground sewer activity, and Activity T, the stream building activity, have been assigned to the appropriate subcontructors. The company has already incurred costs in the amount of $30,000,000 (c.g., land costs, ete.). Table 2 shows the list of activities remaining with the nommal cost given for each activity, the maximum amount by which any activity can be crashed, and the additional cost of crashing that activity by the amount shown. Assume that today is Monday, September 15, and that all work is to be done on a five-dayper-week basis that includes holiday peniods [a.c. assume a total of 195 days to complete project]. Refer to Table 3. As one consideration, recommend whether to spend $25,000 for additional legal assistance that would reduce the most likely time to attain the final permits and releases (Z) from 15 to 12 days and its pessimistic time from 25 to 18 days. The Project Manager has been requested to review the tasks and desired dates and prepare a report on the feasibility of the time line. As part of the report to management conceming the scheduling of activities, consider including visual aids and discussing specific probabilities. For example, you would want to include: 1. A Gantt chart for the activities and explanation of its use. 2. The network (PERT) diagram. 3. Explanation of the time it will take to complete the project with the normal times given (i.e., establish a baseline time). 4. Based upon the baseline projections and alternatives, discuss the probabilities of completing the project at various times and the cost consequences. 5. Use the expected time activities time you calculate as the normal times and the crash times as shown in Table 2. 6. Prepare a cash flow chart for your recommended alternative. If the cost of money is 10%, what would you recommend with respect to early-start versus late-start? 7. Suggest other factors which might influence your decision. Table 1: Remaining Activities (Immediate Predecessors \& Time Estimates) 2 Note H 1: Activity R, the underground sewer activity, consists of installing pipes and connections to join all 18 buildings to the main city sewer system. Kapala has two altematives for this activity: I. Coastal Brothers has submitted a bid of $300,000 for the design and construction of the required sewer project. It estimates a most likely completion time of 25 days with a difference of plus or minus two days for the optimistic and pessimistic time estimates. 2. Kapala can design the sewer project itself and hire another company, Seabird Construction, to build the system according to Kapala's specifications. Seabird will charge Kapala $20 per foot of sewer built. Seabird estimates that it can build between 200 and 360 feet of sewers per day; its most likely estimate is 300 feet per day. To minimize disruption to the aesthetic beauty of the project, sewers will run undemeath the paths between condominium buildings. Note \# 2: Activity T, the stream building activity, involves building a stream that runs throughout the project and connects the western and eastem boundaries. Again Kapala has two options: 1. Kapala has received a bid of $400,000 from River Construction to design and build a meandering stream that will most likely be finished in 30 days, give or take 5 days. 2. Kapala can design and direct the stream construction. The actual work will be performed by the Overwater Company at a price of $50 per foot. Overwater estimates that it will take a full day to complete 60 feet on the steam project. Since Kapala would like to conserve costs, if it designs the stream, it will have the minimal distance and parallel paths between the condominium buildings. Kapala estimates that overall completion time for this activity will be no more than 10 days longer or less than 10 days shorter than the Overwater estimate. Table 2. Normal Cost, Crash Days and Crash Cost 4 Exhibit 1 is a map of the feasible pathways between the condominium buildings which may be used for sewer construction or stream construction
Step by Step Solution
There are 3 Steps involved in it
Get step-by-step solutions from verified subject matter experts
