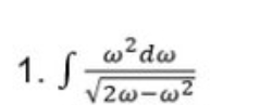
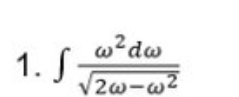
Question: help please use white paper or typewritten asap show complete solution and simplify your answer if possible 2 coco

help please use white paper or typewritten asap show complete solution and simplify your answer if possible

2 coco
Step by Step Solution
There are 3 Steps involved in it
Get step-by-step solutions from verified subject matter experts
