Question: help select the correct multiple choice Let f(x) = |4x x2 + 4. Calculate lim f( -2+ h) -f(-2) h-0 h O-24 O-28 O-48 The
help select the correct multiple choice





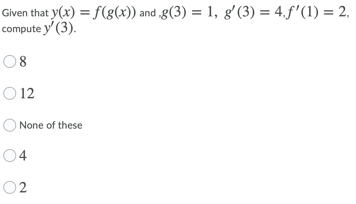
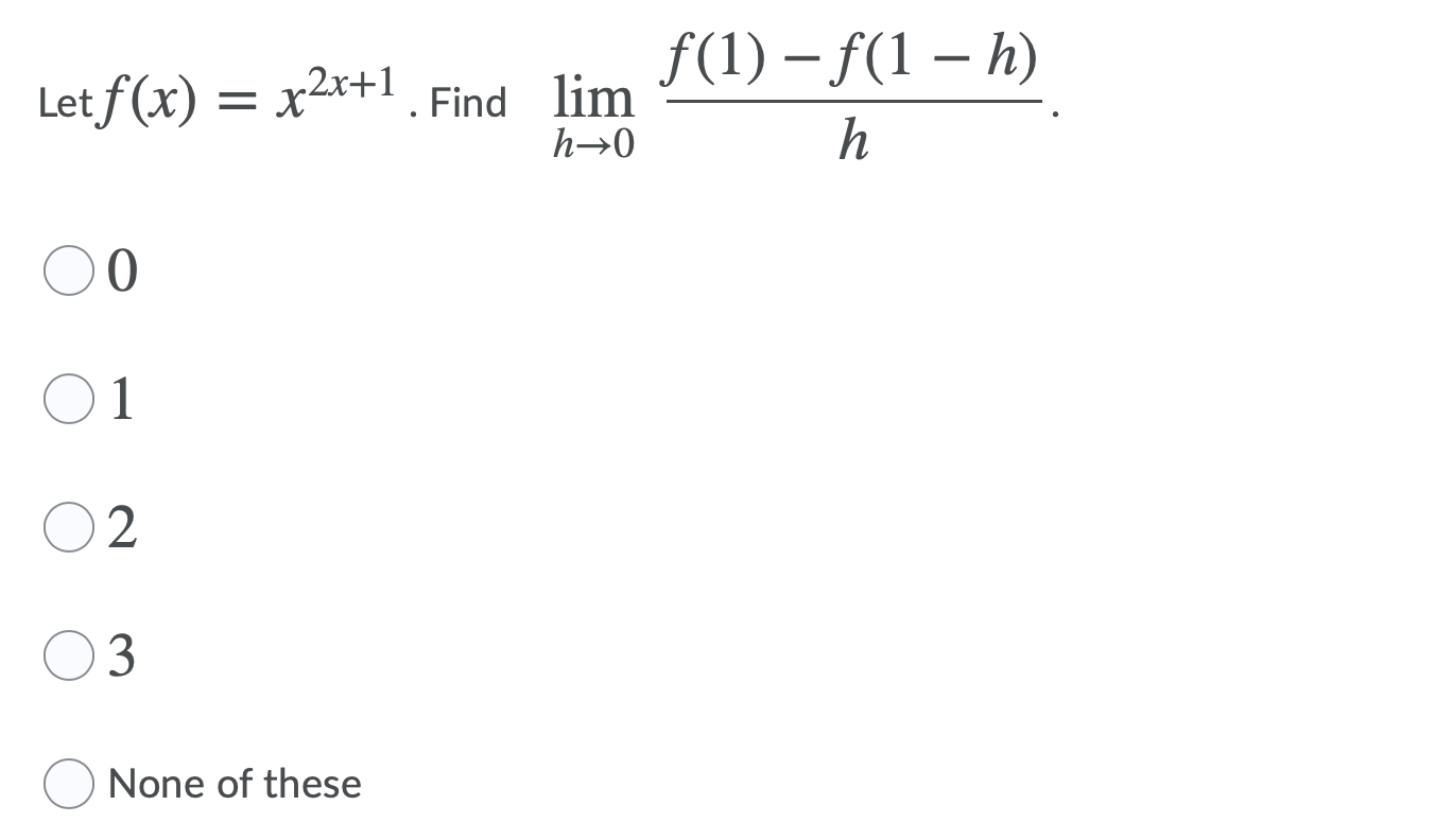
Let f(x) = |4x x2 + 4. Calculate lim f( -2+ h) -f(-2) h-0 h O-24 O-28 O-48 The limit does not exist. None of theseGiven that y(x) = f(g(x)) and ,g(3) = 1, g' (3) = 4,f' (1) = 2, compute y' (3). 08 O 12 None of these 04 02Let f(x) = x2x+ Find lim f(1) -f(1 - h) h-0 h Oo 01 02 ONone of theseTwo functions f , g are defined byf(x) = 5 cos(x2) and g(x) = V2x. What is the value of their composition f(8(0))? 05 None of these O 10 0512Let Z = Arctan f(x) where f(0) = 2 andf'(0) = 10. Evaluate dz at x = 0. dx O 1/2 ONone of these 02 04 03
Step by Step Solution
There are 3 Steps involved in it
Get step-by-step solutions from verified subject matter experts
