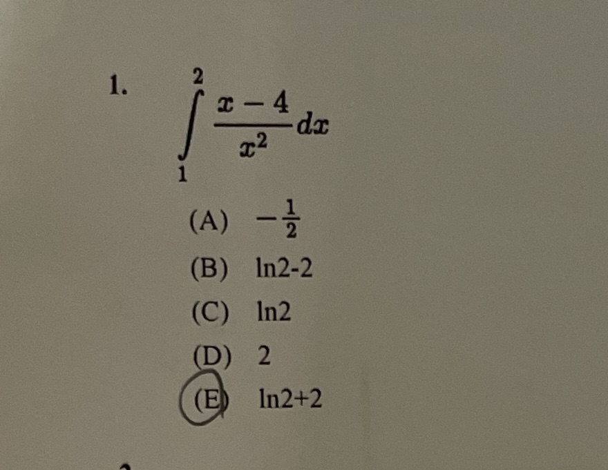
Question: HELP Thats not correct answer. (B) D) 1112-2 ln2 2 1112+2
HELP Thats not correct answer.

(B) D) 1112-2 ln2 2 1112+2
Step by Step Solution
There are 3 Steps involved in it
1 Expert Approved Answer
Step: 1 Unlock
Question Has Been Solved by an Expert!
Get step-by-step solutions from verified subject matter experts
Step: 2 Unlock
Step: 3 Unlock
