Question: Help with python to return specific values from an excel file. Hello i already imported the excel file a date frame df_3 . I just
Help with python to return specific values from an excel file.
Hello i already imported the excel file a date frame df_3 .
I just need a code to return specific values of 4 columns .
So i need
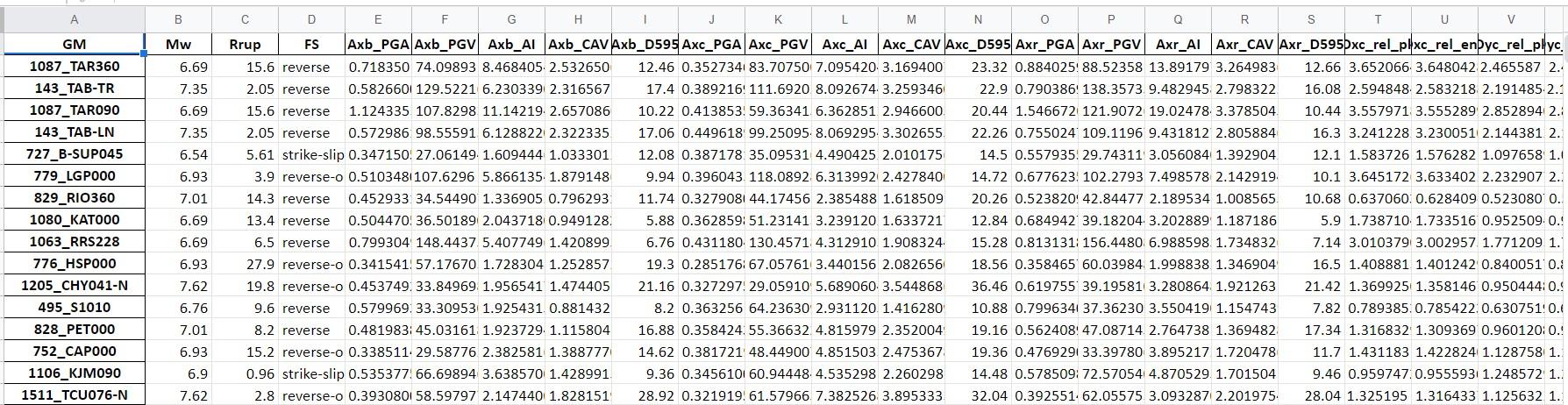
To Filter df_3 to return the earthquake ground motions (GM) in which the dam was shaken with earthquake magnitudes (Mw) greater than 6, site-to-source distances (Rrup) less than 5 km, and rock peak acceleration (Axr_PGA) greater than 0.8g.
This is what the excel sheet looks like .

Step by Step Solution
There are 3 Steps involved in it
Get step-by-step solutions from verified subject matter experts
