Question: Help with this problem please? This is Algorithm 3.1: 2. Use induction on n to show that the divide- and-conquer algorithm for the Binomial Coeffi
Help with this problem please?

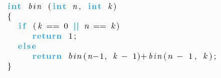
This is Algorithm 3.1:

2. Use induction on n to show that the divide- and-conquer algorithm for the Binomial Coeffi cient problem (Algorithm 3.1), based on Equality 3.1, computes terms to deter- mine (k
Step by Step Solution
There are 3 Steps involved in it
Get step-by-step solutions from verified subject matter experts
