Question: here is the Illustrative Life Table 2. Ark Life would like to provide 10 year term insurance and annuity contract to individuals with age range

here is the Illustrative Life Table

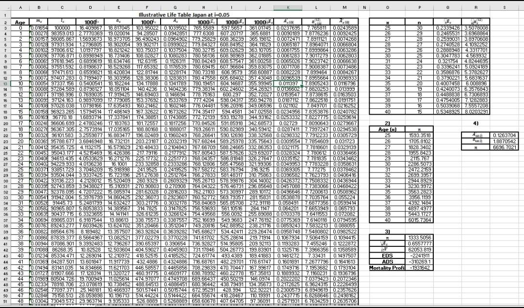
2. Ark Life would like to provide 10 year term insurance and annuity contract to individuals with age range between (25) and (40) with the following benefit. On death before age 55, a benefit of 250,000 is paid immediately. No benefit is payable on the death after age 55. On attaining age 55, the life receives an annuity of 10,000 per annum payable monthly in arrears. Level premiums are payable monthly in advance for 10 years. Mortality follows the constructed life tables and interest rate is 5% pa. Calculate the level monthly premium the insurance company shall charge individuals for each age between (25) to (40). N 0 P Q R 1 Agem, 2 3 4 5 6 6 7 8 9 0 11 X 25 26 27 28 29 30 31 295 32 33 34 35 36 37 38 39 40 n 30 23 28 27 26 25 24 23 22 21 20 19 18 17 16 15 a. 0.2333426 3.5078008 0.2465531 3.6968864 0.25930313.8970608 0.27405284.1092252 0.2888948 4.3317701 0.30477834.569932 0.321754 4.8244695 0.3396241 5.0924189 0.3586876 5.3782627 0.37302215.6831087 0.4007458 6.008896 0.4240073 6.3576843 0.4483838 6.7306893 0.4754005 7.1282883 0.50330687.5557208 0.5348925 80203291 4) A 0.1263704 18870542 6696.7021 T 12 13 14 15 16 11 18 19 20 21 22 23 24 25 26 27 28 23 30 31 32 33 34 35 36 37 38 39 40 41 42 43 44 45 46 47 48 49 50 51 A B D 2 F G H M illustrative Life Table Japan at i-0.05 1000 1000 A 1000 E 1000, | 1000-E, A 10 A, 0 0.01654 100000 16.409867 18.817045 103.95022 0.1039502 765.5589 597.5657 36101745 0.0237655 7.765811 0.0243589 1 0.00278 98359.013 27770369 19.020014 94.28507 0.0942851 777.6308 607.20717 365.6881 0.0090189 7.8776236 0.0092425 2 10.00157 98085.867 15693673 18.97370596.490243 0.0964902779.25829 608.36239 365.19812 0.0072471 7.89111210.0074268 3 0.00128 97931934 1.2796805 18.902054 99.902171 0.0999022 779.84327 608.84952 364. 11829 0.0065187 7.8964071 0.0066804 4 0.00102 97806.612 10137797 18.821242 103.750370.1037504 780.32715 609.02629 363 10705 0.0051755 7.8999864 0.0063286 5 0.0009 37706.871 0.8998949 18.731406 108.02827 0.1080283 780.56136 608.98969 362.01885 0.0061283 7.9017279 0.0062808 6 0.000697618.945 0.6899619 18.634746 112.63115 0.1126311 780.84249 608.5754736100258 0.00650267.9023742 0.0066638 7 0.0008. 97551552 0.8198637 18.529268 117.65692 0.1176539 780.69415 607.96684 359.85075 0.0071708 7.9008387 0.0073486 8 0.00064 97471613 0.6599821 18.420834 122.81744 0.1228174 780.73318 606.9579 35860887 0.0082228 7.899464 0.0084267 9 0.000797407.283 0.7199407 18.303956 128.38306 0.128383 128.3830607283831780.47558605.68402 357.43048 0.009659 7.89556640.0098933 10 0.00054 97337.156 0.5400541 18. 182244 134.17888 0.1341789 780.19451 604.14687 604.14687355.99945 355.99945 0.011397 7.8905243 0.0116796 11 0.0008997284.589 0.8798127 18.051104 140.4236 0.1404236779.38314 602.24602 354.26921 0.01366127.8820253 0.013999 12 0.0007 97198.996 0.7693035 17.919425 146.69403 0.146694 778.75163 600.297 352.72027 0.0159547 7.8738615 0.0163503 13 0.00093 97124.163 0.9897099 17.779085 153.376920. 1533769 0.1535769777.4204 598.04317 350.94278 0.0187112 7.8622518 8622518 0.0191751 14 0.00108 97028.038 10798166 17.635493 160.21462 0.1602146 776.04481 776.04481 536.20916 349.06536 349.065361 0.02 1102 7.849701 0.0216252 15 0.0015896923.265 1.5794514 17486149 167.32622 0.1673262 0.1673262 774.35417 594.4581 34702558 0.0234956 7.8353876 0.0240782 16 0.00163 36770.18 1.6893714 17.337841 174.38851 0.1743885 72.72139533.19278344.951620.0253852.8227175 0.0259614 17 0.00248 96606.699 2.478024617. 183763 18172557 0.1817256 770.84526 591 85918 342.68573 0.02729 7.8090643 0.0279667 18 0.0027 96367.305 2.7573914 17.035165 188.80168 1888017769.26611 769.26611 590.82989 340.59412 0.0287411 7.7997247 0.0294538 19 0.0032 96101.583 3.2559877 16.883477 196.02489 0.1960249 768.26641 590. 12698 338.32568 0.0238332 7.7912233 0.0305729 20 0.003695788.677 3.6846948 16.732131 203.23187 203.23187 0.2032319 767.68244589.25978 335.75643 0.0309554 7.7854609 7.7854609 0.031723 21 0.00412 95435.725 4.1132175 16.579829 210.4843 16.579829 210.48433 0.2104843767.66709 588.24665 332.86353 0.0321175 7.7818601 0.0329139 22 10.0045 95043.177 4.5215469 16.426386 217.79116 0.2177912 767.80543 767,80543 587.57626 329.69207 0.0328324 7.780612 0.0836466 23 0.004094613.435 4.0533629 6.271276 225.17732 0.2251773 768.04357 586.81848 768.04357 586.81848 326.27647 0.0335152 7.781855 0.0343462 24 0.0040.94229.933 4.0136238 16.1001 233.3285 233.32853 0.2333286768, 12806585.47568 32199306 0.0349953 7.7783228 0.0658631 25 0.00371 93851729 3.7046209 15.918998 2419525 0.2419525 767.58272 583.76794 316.9215 0.0369305 7.77275 0.0378462 26 0.0039493504.0443.9337425 15.723196 251.27638 0.2512764766.27833 58148317 310.75863 0.0336582 7.7623753 0.0406416 27 0.00423 93136.223 4.2128012 15.520409 260.9329 0.2609329 765.26713 578.99876 0.2609329 765.26713 578.99876 304.14002 0.0426372 7.7508332 0.0436944 28 0.003992743.859 3.9438027 15.310931 270.90803 0.270908764.04322 576.46731296.85648 0.045708877383066 0.0468422 29 0.0047 92378.095 4.7207222 15.085974 281.62028 0.2816203 762.21103 573.30997 289.10172 0.049664 289.10172 0.0496646 7.7200613 0.0508962 30 0.00541 91942004 5.3976799 14.860425 292.36073 0.2923607760.52772 569.7935728215831 0.05388787.7035764 0.055224 31 0.0052 91445.73 5.2481799 14.632427 303.21776 303.21776 0.3032178 758.84069 565.85708 272.91118 0.058491 7.6877356 0.0599414 32 10.00584 90965.807 5.8053833 14.389567 314.7825 0.3147825 756.59693 561 10516264. 1147 0.064201 7.6653949 0.065793 33 0.0063990437.715 6.3323655 74.141141 326.61235 0.3268124 754.49568 556.0032 255.89088 0.0703378 7.64115530.072082 34 0.00694 89865.031 6.9187544 13.88613 338.75573 0.3387557 752.16699 549.9683 247.76192 0.0775369 7.6140118 0.0794595 35 0.007689243.2777 7603942613.624 702 351.204660.3512047 749.20816542.88952 238.21716 0.0859243 75832213 0.088055 36 0.00824 88564.676 8.189482 13.357507 363.92824 0.3639282 745.68627 534.42411 229.26474 0.0958748 7.5480802 0.0982522 37 0.0086 87839.377 8.5664967 13.082521 377.02279 0.3770228 741.61702 525.28614 219.71914 0.10679347.5064159 0.1094415 38 10.00944 87086.901 9.3992483 12.796267 390.65397 0.390654 736.92827 514.95805 209.92113 0.1193283 7.4552460.1222872 39 0.0108886268.35 10.82528 12.503604 404.59027 0.4045903 731.17846 50426773 199.83901 0.1325716 7.3966356 0.1358589 40 0.01234 85334.471 12.269014 12.269014 12.210972 418.52515 0.4185252 724.61774 493.4389 189.41883 10.1461272 7.33431 0.1497507 41 0.01368 84287.501 13.601847 11.917739 432.4886 0.4324886 716.68761 482.29701 178.61747 0.1601891 7.2677796 0.1641613 42 0.01494 83141035 14.834666 11.621703 446.58557 0.4465856 708.29839 470.70447 167.99617 0.1749716 7. 1953682 0.1793104 43 101727 1307.666 17. 128314 11.320727460.91775 0.4609177 698.78992 460.22778 22778 157.35813 0.1889932 7.1160231 0.1936796 44 0.0198580504.726 19.700949 11.025614 474.97077 0.4749708 689.66437 450.50219 146 0974 0.2022202 7.0379423 0.2072346 45 0.023378918.706 23.07851910.738452 488.64513 0.4886451 680.96442 438.79491 134.35673 0.2172625 0.2226499 46 0.0254 77097,371 25.148181 10.466937 501.57441 0.5015744 672.95291 428.994 122.92221 0.2300579 6.8949619 0.2357626 47 0.028475158.513 28.059898 10.196713 514.44224 0.5144422 664.55674 418.28467 110.19991 0.2437715 6.8268646 0.2498162 48 0.03042 73049.572 29.963714 9.935333 3.52 25.09.933333. $26.8889 / 0.5268889658.60678, 407.6470537.36091 0.257193 6.7634259 0.2635706 21 Age (x) 25 26 27 28 29 30 31 32 33 34 35 36 37 38 39 40 1593.3518 1705.8102 1828.3402 1955.8423 2115.767 2286.5073 2472 2159 2699.3357 2944.8929 323029972 3563.2823 3956. 1199 1 4392.1484 4897.4977 5443.1727 60157864 31 1333.5056 0.6557777 1 62053.819 EDS -2241911 ADS -310269.1 Mortality Profi -1931642 2. Ark Life would like to provide 10 year term insurance and annuity contract to individuals with age range between (25) and (40) with the following benefit. On death before age 55, a benefit of 250,000 is paid immediately. No benefit is payable on the death after age 55. On attaining age 55, the life receives an annuity of 10,000 per annum payable monthly in arrears. Level premiums are payable monthly in advance for 10 years. Mortality follows the constructed life tables and interest rate is 5% pa. Calculate the level monthly premium the insurance company shall charge individuals for each age between (25) to (40). N 0 P Q R 1 Agem, 2 3 4 5 6 6 7 8 9 0 11 X 25 26 27 28 29 30 31 295 32 33 34 35 36 37 38 39 40 n 30 23 28 27 26 25 24 23 22 21 20 19 18 17 16 15 a. 0.2333426 3.5078008 0.2465531 3.6968864 0.25930313.8970608 0.27405284.1092252 0.2888948 4.3317701 0.30477834.569932 0.321754 4.8244695 0.3396241 5.0924189 0.3586876 5.3782627 0.37302215.6831087 0.4007458 6.008896 0.4240073 6.3576843 0.4483838 6.7306893 0.4754005 7.1282883 0.50330687.5557208 0.5348925 80203291 4) A 0.1263704 18870542 6696.7021 T 12 13 14 15 16 11 18 19 20 21 22 23 24 25 26 27 28 23 30 31 32 33 34 35 36 37 38 39 40 41 42 43 44 45 46 47 48 49 50 51 A B D 2 F G H M illustrative Life Table Japan at i-0.05 1000 1000 A 1000 E 1000, | 1000-E, A 10 A, 0 0.01654 100000 16.409867 18.817045 103.95022 0.1039502 765.5589 597.5657 36101745 0.0237655 7.765811 0.0243589 1 0.00278 98359.013 27770369 19.020014 94.28507 0.0942851 777.6308 607.20717 365.6881 0.0090189 7.8776236 0.0092425 2 10.00157 98085.867 15693673 18.97370596.490243 0.0964902779.25829 608.36239 365.19812 0.0072471 7.89111210.0074268 3 0.00128 97931934 1.2796805 18.902054 99.902171 0.0999022 779.84327 608.84952 364. 11829 0.0065187 7.8964071 0.0066804 4 0.00102 97806.612 10137797 18.821242 103.750370.1037504 780.32715 609.02629 363 10705 0.0051755 7.8999864 0.0063286 5 0.0009 37706.871 0.8998949 18.731406 108.02827 0.1080283 780.56136 608.98969 362.01885 0.0061283 7.9017279 0.0062808 6 0.000697618.945 0.6899619 18.634746 112.63115 0.1126311 780.84249 608.5754736100258 0.00650267.9023742 0.0066638 7 0.0008. 97551552 0.8198637 18.529268 117.65692 0.1176539 780.69415 607.96684 359.85075 0.0071708 7.9008387 0.0073486 8 0.00064 97471613 0.6599821 18.420834 122.81744 0.1228174 780.73318 606.9579 35860887 0.0082228 7.899464 0.0084267 9 0.000797407.283 0.7199407 18.303956 128.38306 0.128383 128.3830607283831780.47558605.68402 357.43048 0.009659 7.89556640.0098933 10 0.00054 97337.156 0.5400541 18. 182244 134.17888 0.1341789 780.19451 604.14687 604.14687355.99945 355.99945 0.011397 7.8905243 0.0116796 11 0.0008997284.589 0.8798127 18.051104 140.4236 0.1404236779.38314 602.24602 354.26921 0.01366127.8820253 0.013999 12 0.0007 97198.996 0.7693035 17.919425 146.69403 0.146694 778.75163 600.297 352.72027 0.0159547 7.8738615 0.0163503 13 0.00093 97124.163 0.9897099 17.779085 153.376920. 1533769 0.1535769777.4204 598.04317 350.94278 0.0187112 7.8622518 8622518 0.0191751 14 0.00108 97028.038 10798166 17.635493 160.21462 0.1602146 776.04481 776.04481 536.20916 349.06536 349.065361 0.02 1102 7.849701 0.0216252 15 0.0015896923.265 1.5794514 17486149 167.32622 0.1673262 0.1673262 774.35417 594.4581 34702558 0.0234956 7.8353876 0.0240782 16 0.00163 36770.18 1.6893714 17.337841 174.38851 0.1743885 72.72139533.19278344.951620.0253852.8227175 0.0259614 17 0.00248 96606.699 2.478024617. 183763 18172557 0.1817256 770.84526 591 85918 342.68573 0.02729 7.8090643 0.0279667 18 0.0027 96367.305 2.7573914 17.035165 188.80168 1888017769.26611 769.26611 590.82989 340.59412 0.0287411 7.7997247 0.0294538 19 0.0032 96101.583 3.2559877 16.883477 196.02489 0.1960249 768.26641 590. 12698 338.32568 0.0238332 7.7912233 0.0305729 20 0.003695788.677 3.6846948 16.732131 203.23187 203.23187 0.2032319 767.68244589.25978 335.75643 0.0309554 7.7854609 7.7854609 0.031723 21 0.00412 95435.725 4.1132175 16.579829 210.4843 16.579829 210.48433 0.2104843767.66709 588.24665 332.86353 0.0321175 7.7818601 0.0329139 22 10.0045 95043.177 4.5215469 16.426386 217.79116 0.2177912 767.80543 767,80543 587.57626 329.69207 0.0328324 7.780612 0.0836466 23 0.004094613.435 4.0533629 6.271276 225.17732 0.2251773 768.04357 586.81848 768.04357 586.81848 326.27647 0.0335152 7.781855 0.0343462 24 0.0040.94229.933 4.0136238 16.1001 233.3285 233.32853 0.2333286768, 12806585.47568 32199306 0.0349953 7.7783228 0.0658631 25 0.00371 93851729 3.7046209 15.918998 2419525 0.2419525 767.58272 583.76794 316.9215 0.0369305 7.77275 0.0378462 26 0.0039493504.0443.9337425 15.723196 251.27638 0.2512764766.27833 58148317 310.75863 0.0336582 7.7623753 0.0406416 27 0.00423 93136.223 4.2128012 15.520409 260.9329 0.2609329 765.26713 578.99876 0.2609329 765.26713 578.99876 304.14002 0.0426372 7.7508332 0.0436944 28 0.003992743.859 3.9438027 15.310931 270.90803 0.270908764.04322 576.46731296.85648 0.045708877383066 0.0468422 29 0.0047 92378.095 4.7207222 15.085974 281.62028 0.2816203 762.21103 573.30997 289.10172 0.049664 289.10172 0.0496646 7.7200613 0.0508962 30 0.00541 91942004 5.3976799 14.860425 292.36073 0.2923607760.52772 569.7935728215831 0.05388787.7035764 0.055224 31 0.0052 91445.73 5.2481799 14.632427 303.21776 303.21776 0.3032178 758.84069 565.85708 272.91118 0.058491 7.6877356 0.0599414 32 10.00584 90965.807 5.8053833 14.389567 314.7825 0.3147825 756.59693 561 10516264. 1147 0.064201 7.6653949 0.065793 33 0.0063990437.715 6.3323655 74.141141 326.61235 0.3268124 754.49568 556.0032 255.89088 0.0703378 7.64115530.072082 34 0.00694 89865.031 6.9187544 13.88613 338.75573 0.3387557 752.16699 549.9683 247.76192 0.0775369 7.6140118 0.0794595 35 0.007689243.2777 7603942613.624 702 351.204660.3512047 749.20816542.88952 238.21716 0.0859243 75832213 0.088055 36 0.00824 88564.676 8.189482 13.357507 363.92824 0.3639282 745.68627 534.42411 229.26474 0.0958748 7.5480802 0.0982522 37 0.0086 87839.377 8.5664967 13.082521 377.02279 0.3770228 741.61702 525.28614 219.71914 0.10679347.5064159 0.1094415 38 10.00944 87086.901 9.3992483 12.796267 390.65397 0.390654 736.92827 514.95805 209.92113 0.1193283 7.4552460.1222872 39 0.0108886268.35 10.82528 12.503604 404.59027 0.4045903 731.17846 50426773 199.83901 0.1325716 7.3966356 0.1358589 40 0.01234 85334.471 12.269014 12.269014 12.210972 418.52515 0.4185252 724.61774 493.4389 189.41883 10.1461272 7.33431 0.1497507 41 0.01368 84287.501 13.601847 11.917739 432.4886 0.4324886 716.68761 482.29701 178.61747 0.1601891 7.2677796 0.1641613 42 0.01494 83141035 14.834666 11.621703 446.58557 0.4465856 708.29839 470.70447 167.99617 0.1749716 7. 1953682 0.1793104 43 101727 1307.666 17. 128314 11.320727460.91775 0.4609177 698.78992 460.22778 22778 157.35813 0.1889932 7.1160231 0.1936796 44 0.0198580504.726 19.700949 11.025614 474.97077 0.4749708 689.66437 450.50219 146 0974 0.2022202 7.0379423 0.2072346 45 0.023378918.706 23.07851910.738452 488.64513 0.4886451 680.96442 438.79491 134.35673 0.2172625 0.2226499 46 0.0254 77097,371 25.148181 10.466937 501.57441 0.5015744 672.95291 428.994 122.92221 0.2300579 6.8949619 0.2357626 47 0.028475158.513 28.059898 10.196713 514.44224 0.5144422 664.55674 418.28467 110.19991 0.2437715 6.8268646 0.2498162 48 0.03042 73049.572 29.963714 9.935333 3.52 25.09.933333. $26.8889 / 0.5268889658.60678, 407.6470537.36091 0.257193 6.7634259 0.2635706 21 Age (x) 25 26 27 28 29 30 31 32 33 34 35 36 37 38 39 40 1593.3518 1705.8102 1828.3402 1955.8423 2115.767 2286.5073 2472 2159 2699.3357 2944.8929 323029972 3563.2823 3956. 1199 1 4392.1484 4897.4977 5443.1727 60157864 31 1333.5056 0.6557777 1 62053.819 EDS -2241911 ADS -310269.1 Mortality Profi -1931642
Step by Step Solution
There are 3 Steps involved in it
Get step-by-step solutions from verified subject matter experts
