Question: Heres my code so far yet its not running on MATLAB, can someone please look over what I have along with my answers to the
Heres my code so far yet its not running on MATLAB, can someone please look over what I have along with my answers to the problem in question to see where my code is messing up
function IVPSolverD
y;
function dydtIVPfctty
dydtnblmxyy; yy;
end
t;
tF;
dt;
t yode@IVPfct,t:dt:tFy;
yExacty;
sizeyExact
sizey
sizet
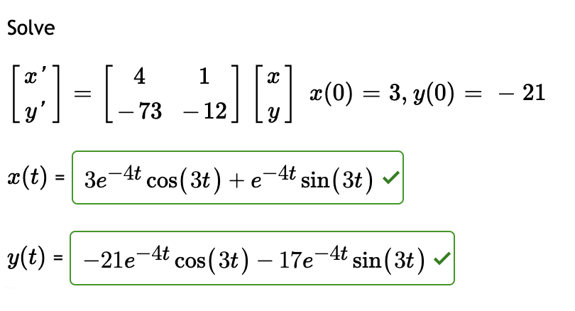
yExact:exptcostsint;
yExact:exptcostsint;
figure
hold on
plotty:b;
plotty:b;
plottyExact::r;
plottyExact::r;
hold off;
end
Let me please emphasize that I only need help with the code thank you
Step by Step Solution
There are 3 Steps involved in it
1 Expert Approved Answer
Step: 1 Unlock
Question Has Been Solved by an Expert!
Get step-by-step solutions from verified subject matter experts
Step: 2 Unlock
Step: 3 Unlock
