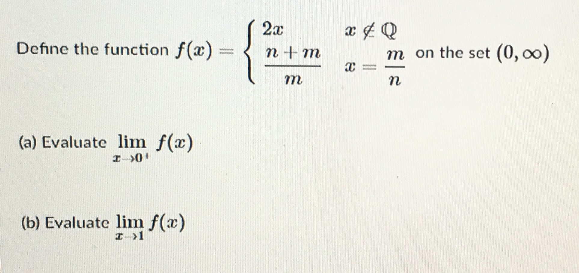
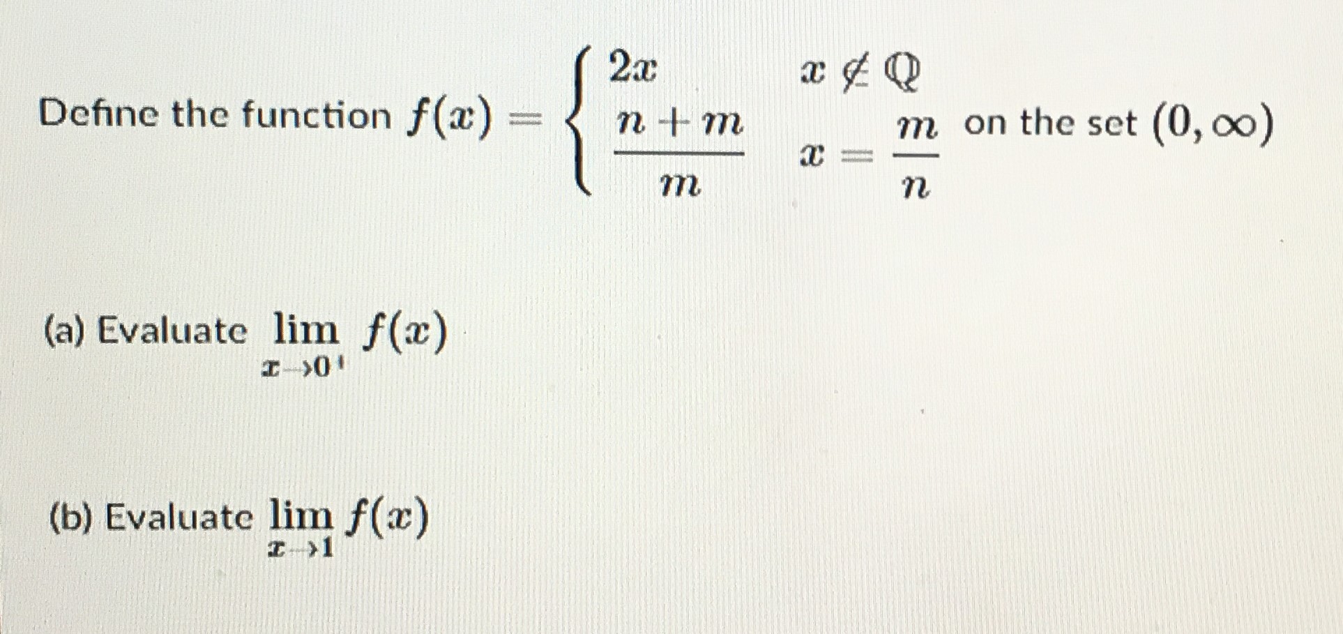
Question: Hey Tutors, Please answer this study question with all steps and explanations. You are much appreciated so thanks! 2ac Define the function f(@) = n

Hey Tutors,
Please answer this study question with all steps and explanations. You are much appreciated so thanks!

2ac Define the function f(@) = n + m m on the set (0, co) m n (a) Evaluate lim f(x) I-101 (b) Evaluate lim f(x)
Step by Step Solution
There are 3 Steps involved in it
Get step-by-step solutions from verified subject matter experts
