Question: Hi I need help fixing my code in matlab. The goal is to plot , nu12c, E1c, E2c, and G12c. If something is not clear
Hi I need help fixing my code in matlab. The goal is to plot , nu12c, E1c, E2c, and G12c. If something is not clear please let me know
clc
% Input fiber and matrix properties % Unit: GPa
E1f = 270; E2f = 15; nu12f = 0.28; G12f = 15; Em = 3.4; num = 0.38; i = 1;
for Vf = 0:0.1:1 [E1c(i),E2c(i),nu12c(i),G12c(i)]=ROM(E1f,E2f,nu12f,G12f,Em,num,Vf); i = i+1; end E1c = zeros(1,n); for ii=1:n E1c( ii ) = foo( ii ); end E2c = zeros(1,n); for ii=1:n E2c( ii ) = foo( ii ); end nu12c = zeros(1,n); for ii=1:n nu12c( ii ) = foo( ii ); end G12c = zeros(1,n); for ii=1:n G12c( ii ) = foo( ii ); end
Vf = 0:0.1:1; plot(Vf,E1c,'-o','LineWidth', 2) set(gca,'FontSize',18); xlabel('V_f'); ylabel('Axial Modulus, E_{1c}');
figure plot(Vf,E2c,'-o','LineWidth', 2) set(gca,'FontSize',18); xlabel('V_f'); ylabel('Transverse Modulus, E_{2c}');
figure plot(Vf,nu12c,'-o','LineWidth', 2) set(gca,'FontSize',18); xlabel('V_f'); ylabel('Major Poisson{''}s Ratio, u_{12c}');
figure plot(Vf,G12c,'-o','LineWidth', 2) set(gca,'FontSize',18); xlabel('V_f'); ylabel('Axial Shear Modulus, G_{12c}');
function [E1c,E2c,nu12c,G12c]=ROM(E1f,E2f,nu12f,G12f,Em,num,Vf)
Gm = Em./(2*(1+num)); K23m = Em./(2*(1+num).*(1-2*num)); G23f = E2f/(2*(1+num)); G23c =1*Gm+(Gm*Vf)./((Gm./(G23f-Gm)+(K23m + 2*Gm)*(1-Vf)./2*(K23m+Gm))); K23f = (E2f)./(2*(1-num-2*(E2f/E1f)*nu12f^2)); nu12c = (Vf*nu12f + (1-Vf)*num) + ((Vf*(1-Vf)*(num12f-num)*((Gm/k23m)- (Gm/K23f))/((Gm(1-Vf)/K23f)+(Gm*Vf/K23m)+1))); E1c = Vf*E1f + (1-Vf)*Em + (4*Vf*(1 - Vf))*((nu12f-num)^2*Gm)/(((Gm*(1-Vf))/K23f)+ ((Gm*Vf)/K23m)+1) ; E2c = (4*G23c*K23c)/((K23c + (1 + (4*k23*num12c^2)/E1c)*G23c)); G12c = (Gm)*((G12f*(1+Vf)+Gm*(1-Vf)/G12f*(1-Vf)+Gm*(1+Vf))); end
These are the functions I am inputing:

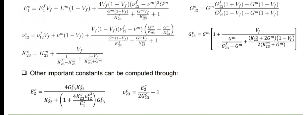
12V Gm Gm(1- 12 23 23 G23 -Gm Other important constants can be computed through: 4GS3K 023 2G23 23
Step by Step Solution
There are 3 Steps involved in it
Get step-by-step solutions from verified subject matter experts
