Question: Hi I need help on what is the answer to this problems? Below is the question and other concerns will be in the comment section
Hi I need help on what is the answer to this problems? Below is the question and other concerns will be in the comment section. I hope you can help me and surely I will give you full positive feedback.



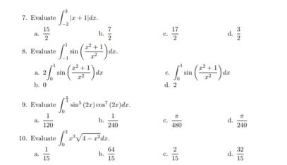
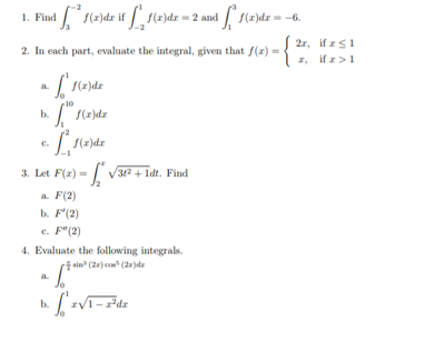
1. Express > (n + 3) in closed form. n= 1 213+ 2143 + 73k A, C. 243 + 6k- + 731 6 6 b. 243+ 64+ 58k d. : 24 + 21k2 + 581 6 6 2. Express the function of n, lim 5k 1-+460 in closed form and then find the limit. 5(n + 1) (2n + 1) A. -: 5 5(n + 1) 2n2 C. 2n b. 5(n + 1)(2n + 1) 10 d. 5(n + 1) 5 3. If [ Uf(x) dr = 6. ( lo(x)] dx = -7 and (4f(x)g(x)dr = 16, find ( If(z) + 9(2)] dr. A. 7 b. 17 c. 15 d. 21 4. Let F(x) = / v3:3 + 1dt. Find F"(2) a. 0 b. V13 c. 6v13 d. 6v 13 13 5. Let F(x) = f'dt. Find F'(x) a. sin r cos r(sing + cos I) C. - sin T COST b. - sin r cos r(sin a + cos I) d. sin r + cos I 6. Evaluate [ feldr, given that r, ifis1 5r+7, ifx>1 15 C. 57 129 d.7. Evaluate [s + Idr. 15 a. ING 2 b. C. 8. Evaluate sin a. 2 Him C. sin h. 0 d. 2 9. Evaluate sin' (2r) cos (2r)dr. 1 b. d. 120 240 180 240 10. Evaluate 4-rdr. 32 b. 2 IN. 15 15 C. d. 151. Find f(xjax if / /(x)de - 2 and / /(x)ds = -5. 2. In each part, evaluate the integral, given that /(a) = 2r, Has 1 10 b. / f(x)dr C. 3. Let F(x) = V313 + 1de. Find a F(2) b. F(2) c. F"(2) 4. Evaluate the following integrals. b
Step by Step Solution
There are 3 Steps involved in it
Get step-by-step solutions from verified subject matter experts
