Question: Hi I need help solving rational equations and radical equations Gradelink SIS X Pre-Calculus X *Course Hero X (2) Kid WON'T SH( X + X
Hi I need help solving rational equations and radical equations

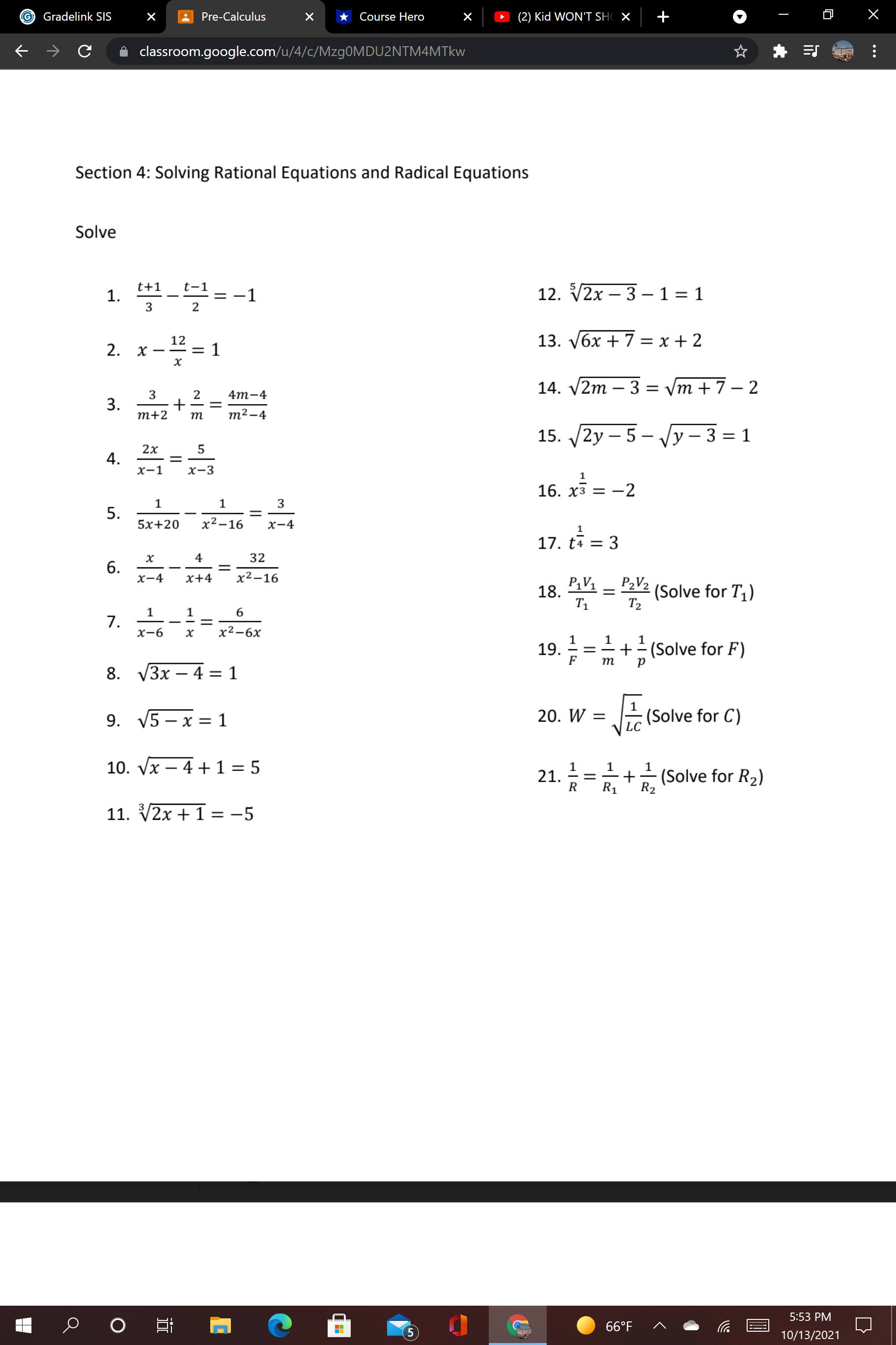
Gradelink SIS X Pre-Calculus X *Course Hero X (2) Kid WON'T SH( X + X C classroom.google.com/u/4/c/Mzg0MDU2NTM4MTkw E Section 4: Solving Rational Equations and Radical Equations Solve 1. t+1 t-1 -1 12. V2x -3- 1 = 1 3 2 13. V6x + 7 = x+2 2. X = 1 Am-4 14. V2m - 3 = Vm + 7-2 3 3. + m+2 m m2-4 15. 2y - 5 - Vy - 3=1 2x 4. 5 X - 1 X - 3 16. x3 = -2 1 5. 5x+20 x2-16 x - 4 17. t4 = 3 6. X 32 X - 4 x+4 x2-16 18. 21 1 = P2/2 (Solve for T1) T1 T2 7. 1 6 X - 6 x2-6x 19. = = 1 + 1 (Solve for F) 8. V3x - 4 = 1 9. V5 - x = 1 20. W = . (Solve for C) 10. Vx - 4+1 =5 21. R = R1 1 + (Solve for R2) 11. V2x + 1 = -5 C 5:53 PM O Ei 66.F 10/13/2021
Step by Step Solution
There are 3 Steps involved in it
Get step-by-step solutions from verified subject matter experts
