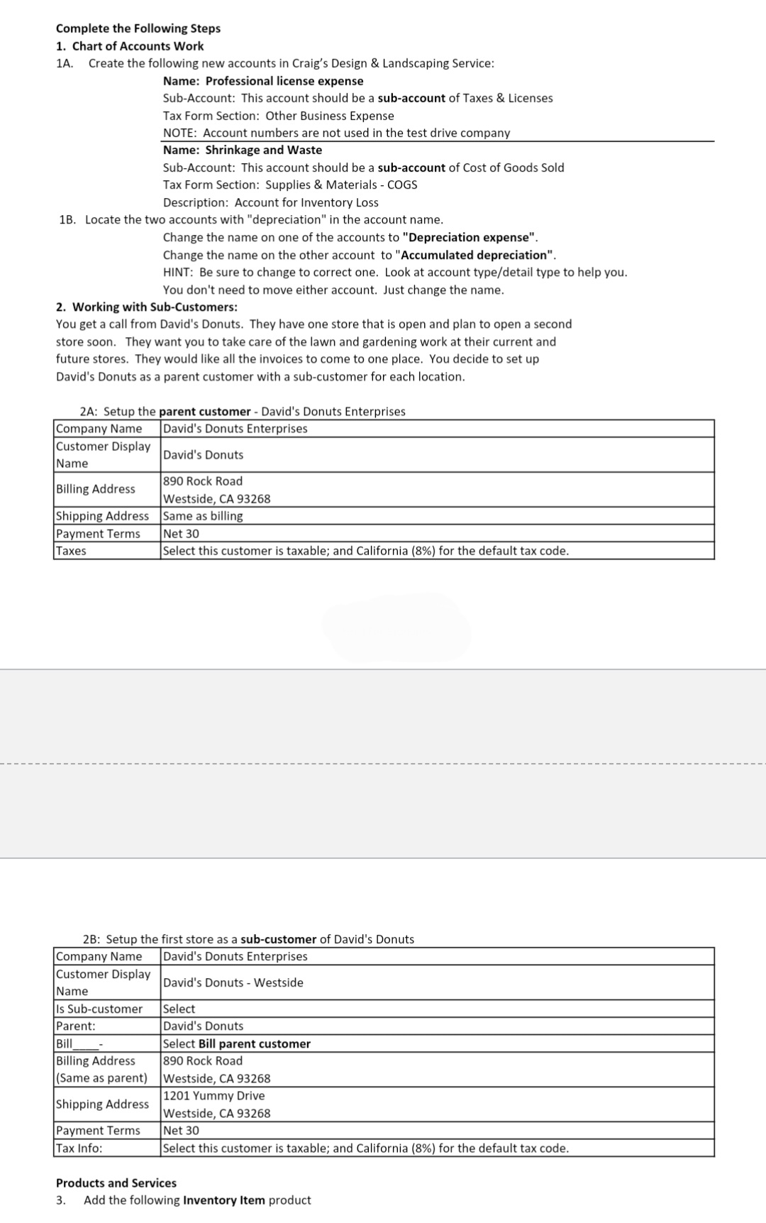
Question: Hi, need help with this homework. I know thos might be lengthy. Would be great to get a balance sheet and Profit loss (SS Below)
Hi, need help with this homework. I know thos might be lengthy. Would be great to get a balance sheet and Profit loss (SS Below)









Step by Step Solution
There are 3 Steps involved in it
1 Expert Approved Answer
Step: 1 Unlock
Question Has Been Solved by an Expert!
Get step-by-step solutions from verified subject matter experts
Step: 2 Unlock
Step: 3 Unlock
