Question: Higher Order Derivatives and Parametric Differentiation Solve the following problem and simplify your answer. Show your solutions completely. Box your final answer. Note: You can

Higher Order Derivatives and Parametric Differentiation
Solve the following problem and simplify your answer. Show your solutions completely. Box your final answer.
Note: You can use the formula sheet at the bottom to answer number 1 and 2.



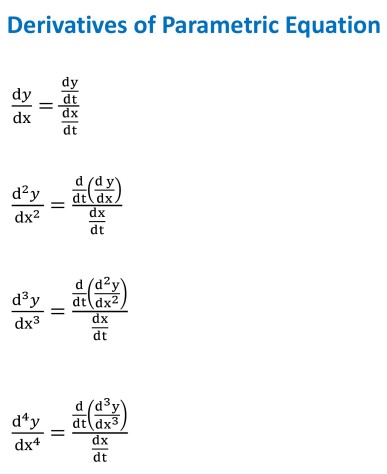
Higher Order Derivatives Let y = f (), then the higher order differentiation of this function is given by First Derivative: dy d dx dx (y) = - f (x) = f'(x) = y' Second Derivative: 12 y d = dx-2 = f" (x) =y" dx dx Third Derivative: d3 y d day = f" (x) =y"" dx 3 dx dx2 Fourth Derivative: d dx4 dx3 By ) = = (x ) = 4) dx nth Derivative: any dans n = 1, 2, 3, 4, 5 ...d y 1. Find the 3rd derivative of y (1-36)2 2. Find the fifth derivative y of y = sin
Step by Step Solution
There are 3 Steps involved in it
Get step-by-step solutions from verified subject matter experts
