Question: Hola! Can you help w/ calculus 3 task. Thanks Find the tangential and normal components of acceleration at any instant t for the given position

Hola! Can you help w/ calculus 3 task. Thanks
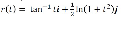
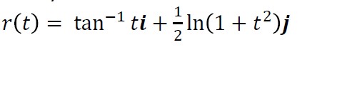
Find the tangential and normal components of acceleration at any instant t for the given position vector:

r(t) = tan ti + =In(1 + +2)j 2
Step by Step Solution
There are 3 Steps involved in it
Get step-by-step solutions from verified subject matter experts
