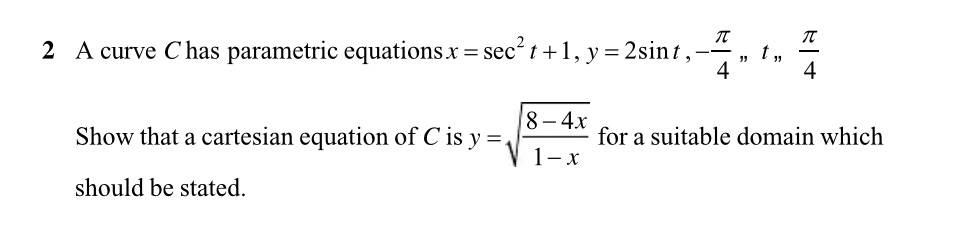
Question: How 2 A curve Chas parametric equations x = sect+1, y =2sint, 8-4x Show that a cartesian equation of C is y = for a
How

Step by Step Solution
There are 3 Steps involved in it
1 Expert Approved Answer
Step: 1 Unlock
Question Has Been Solved by an Expert!
Get step-by-step solutions from verified subject matter experts
Step: 2 Unlock
Step: 3 Unlock
