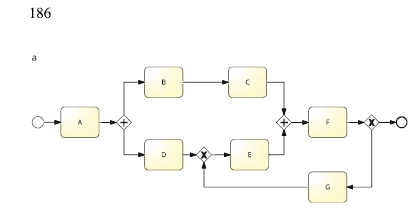
Question: How can the model be fixed without affecting the cycle, i.e., such that activities F, G, and E all remain in the cycle? 186 A
How can the model be fixed without affecting the cycle, i.e., such that activities F, G, and E all remain in the cycle?

186 A D E G
Step by Step Solution
There are 3 Steps involved in it
Get step-by-step solutions from verified subject matter experts
