Question: How do I go about this? Review: (Practice concepts from the last lecture(s)) 1. Explain the meaning of lim /(x)=7 in one sentence. 2. Given
How do I go about this?


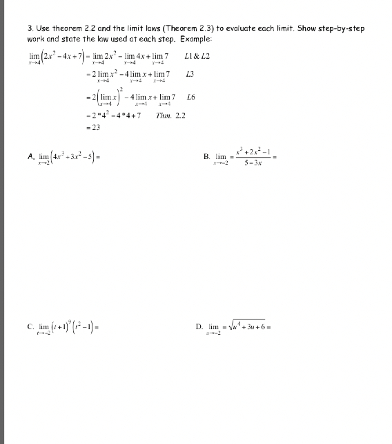
Review: (Practice concepts from the last lecture(s)) 1. Explain the meaning of lim /(x)=7 in one sentence. 2. Given the graph of /(x), answer the following: -2 a. lim f(x) b. lim f(x) c. lim f(x) d. f (-3) e. lim f(x) f. lim f(x) g. Him f(x) h. F (2) r- 2' i. lim f(x) j- lim f(x) k. lim f(x) 1. f (3) X-3+3. Use theorem 2.2 and the limit laws (Theorem 2.3) to evaluate each limit. Show step-by-step work and state the low used at each step. Example: lim (2x' -4x + 7) - lim 2x' - lim 4x + lim 7 LI & L2 - 2 lim r- - 4 lim x + lim 7 13 Y-+4 Y-+4 -2 limx - 4 lim.x + lim7 L6 -2"4"-4*4+7 Thm. 2.2 - 23 A. lim 4x + 3x- -5)= B. lim = 5-3x C. lim (7+ 1) (43 -1) = D. lim = \\ + 30+6=
Step by Step Solution
There are 3 Steps involved in it
Get step-by-step solutions from verified subject matter experts
