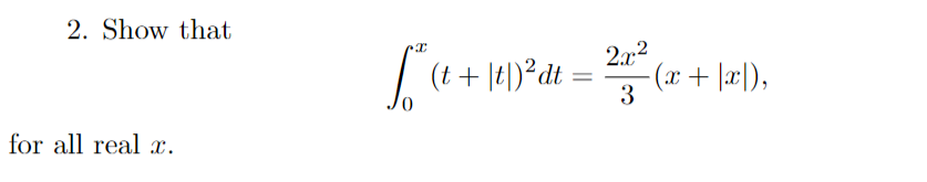
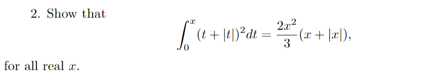
Question: How do I solve this? 2. Show that ( + + 1+ 1) 2 dt = 3 (ar + x]), for all real x

How do I solve this?
![1+ 1) 2 dt = 3 (ar + x]), for all real](https://s3.amazonaws.com/si.experts.images/answers/2024/06/66739bc5966d2_54966739bc583c1b.jpg)
2. Show that ( + + 1+ 1) 2 dt = 3 (ar + x]), for all real x
Step by Step Solution
There are 3 Steps involved in it
Get step-by-step solutions from verified subject matter experts
