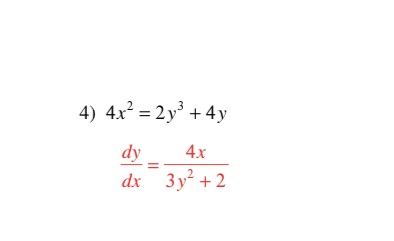
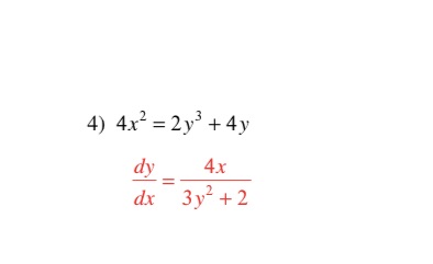
Question: How do I solve this to get this answer using the chain rule with implicit differentiation? 4) 4x2 = 2y'+4y dy 4x dx 3y- +

How do I solve this to get this answer using the chain rule with implicit differentiation?

4) 4x2 = 2y'+4y dy 4x dx 3y- + 2
Step by Step Solution
There are 3 Steps involved in it
Get step-by-step solutions from verified subject matter experts
