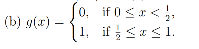
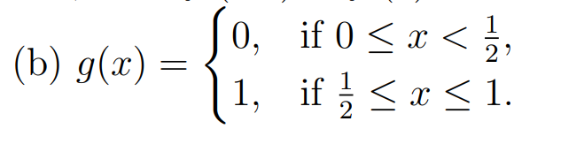
Question: How do we know this function is Riemann integrable but not continous? if 1. 1,

How do we know this function is Riemann integrable but not continous?

if 1. 1,
Step by Step Solution
There are 3 Steps involved in it
Get step-by-step solutions from verified subject matter experts
