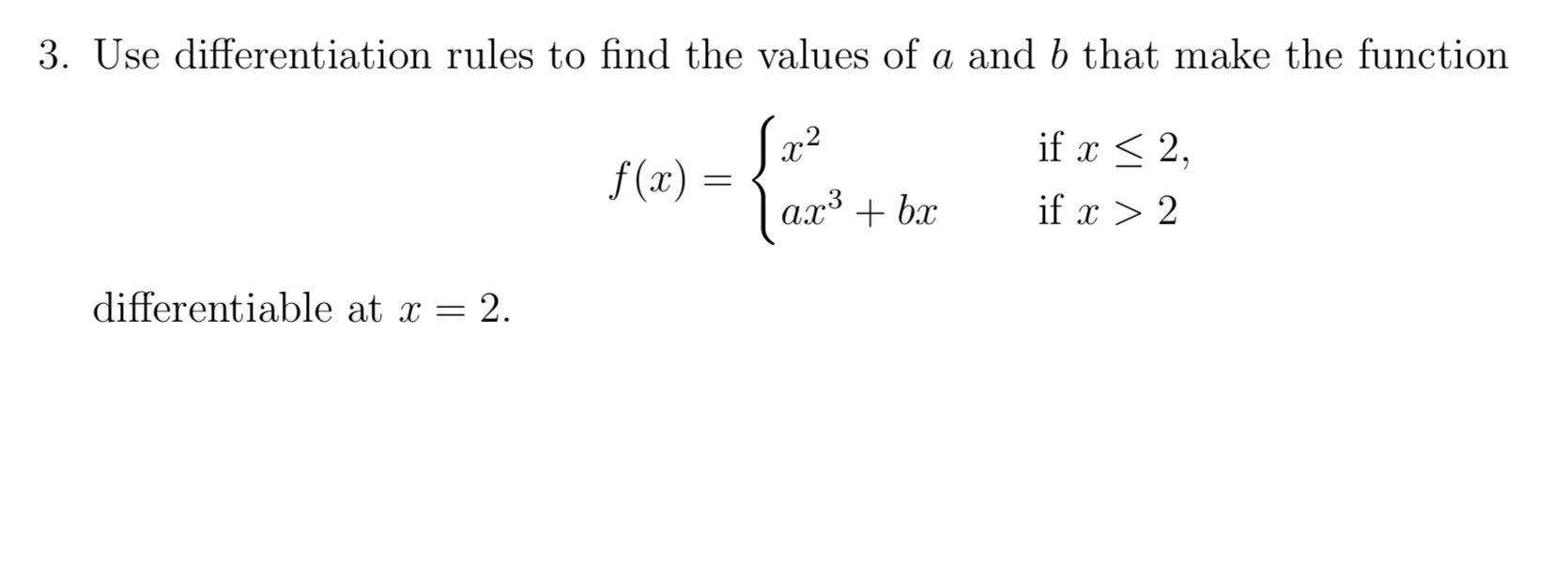
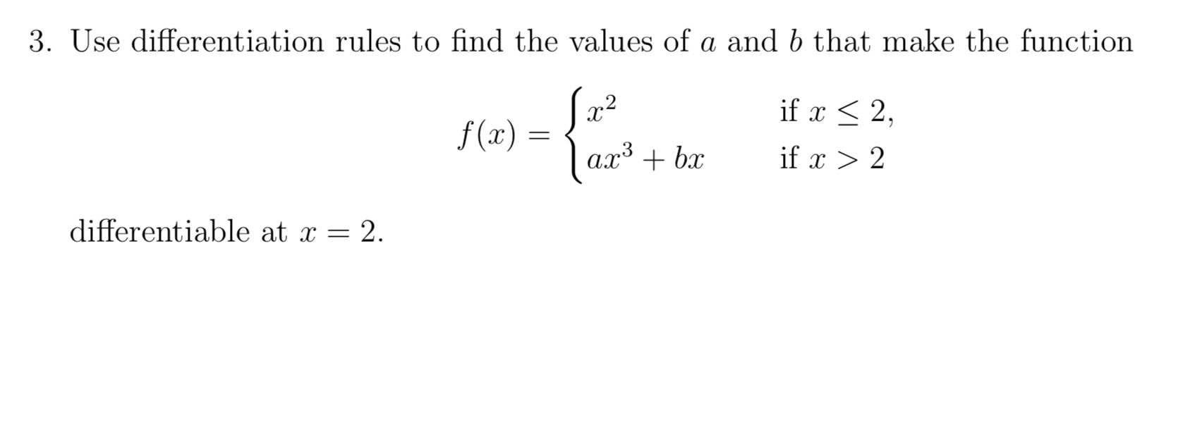
Question: How do you solve this question? 3. Use differentiation rules to find the values of a and b that make the function if x 2

How do you solve this question?

3. Use differentiation rules to find the values of a and b that make the function if x 2 differentiable at x = 2
Step by Step Solution
There are 3 Steps involved in it
Get step-by-step solutions from verified subject matter experts
