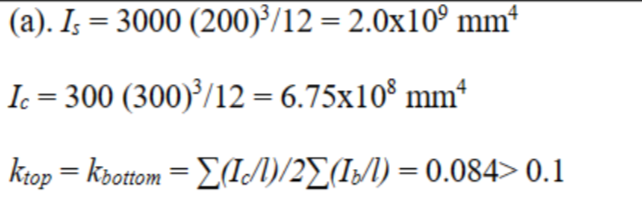
Question: how is this effective length 0 . 0 8 4 found using these equations?? ( a ) . I 5 = 3 0 0 0
how is this effective length found using these equations??a
Step by Step Solution
There are 3 Steps involved in it
1 Expert Approved Answer
Step: 1 Unlock
Question Has Been Solved by an Expert!
Get step-by-step solutions from verified subject matter experts
Step: 2 Unlock
Step: 3 Unlock
