Question: How many points of discontinuity does the function f(2:) = tan (32) have in the interval [0, 4]? 0A2 03.3 f(3242%) = . have a

![(32) have in the interval [0, 4]? 0A2 03.3 \f(3242%) = .](https://s3.amazonaws.com/si.experts.images/answers/2024/06/666627194bc15_7136666271938dda.jpg)
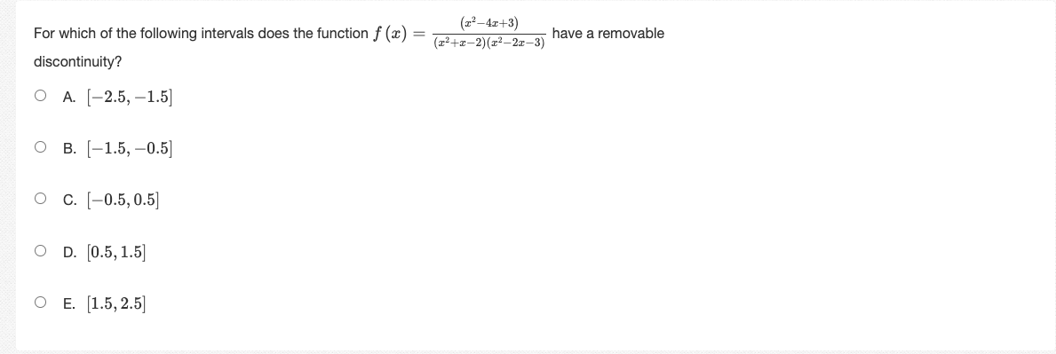
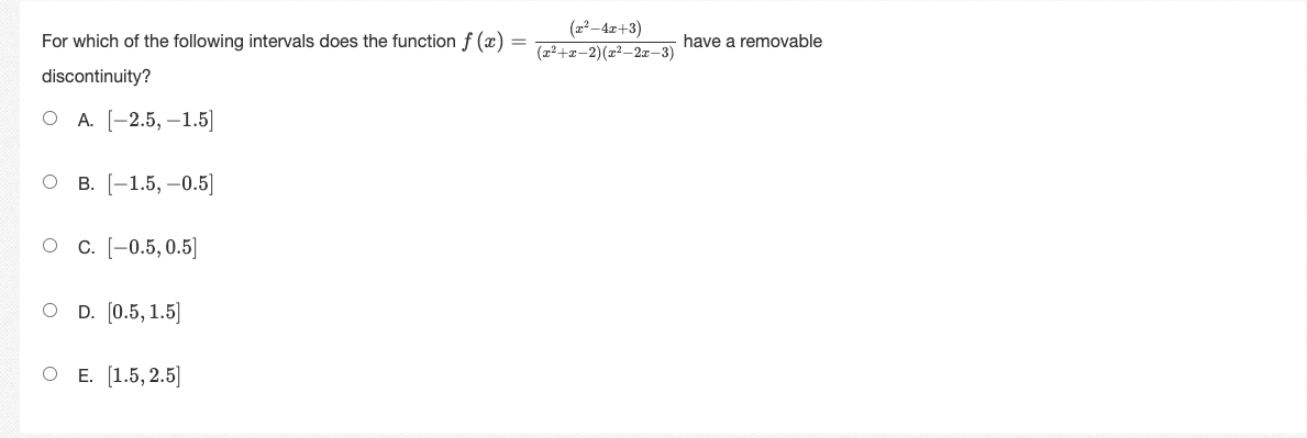
![have a removable (mg1&2] [13213} For which of the following intervals does](https://s3.amazonaws.com/si.experts.images/answers/2024/06/66662719bfa05_71366662719a9b13.jpg)
![the function f (at) discontinuity? O A [25,1.5] o B. [71.5505] 0](https://s3.amazonaws.com/si.experts.images/answers/2024/06/6666271a0df0f_71366662719f40f9.jpg)
![c. [0.5,o.5] o D. [[15,15] 0 E. [1.5, 2.5] Supposed you are](https://s3.amazonaws.com/si.experts.images/answers/2024/06/6666271a558d7_7146666271a3fa7b.jpg)













How many points of discontinuity does the function f(2:) = tan (32) have in the interval [0, 4]? 0A2 03.3 \f(3242%) = . have a removable (mg1&2] [13213} For which of the following intervals does the function f (at) discontinuity? O A [25,1.5] o B. [71.5505] 0 c. [0.5,o.5] o D. [[15,15] 0 E. [1.5, 2.5] Supposed you are given the function f (m) = a: 40 log as. and asked to complete the table. x W) 0.1 1 10 100 1.000 10,000 Based only on those results, what is the minimum number of values ofx where a: = 40 log 3, based on the Intermediate Value Theorem? O A. 0 O 3.1 O 6.2 0 D3 Find the average rate of change of the function f (x) = 2 sin (2x) - 3 sin (3x) over the interval 2 7 3 O A. 6V/3 O B. - O C. O O D. T O E. 6V/3 ITFind the instantaneous rate of change of the function f (a) = 2x3 - 3x at the point (2, 10). O A. -3 O B. 5 O C. 9 O D. 21 O E. 33What is the slope of the tangent line for the function f (x) = 2x2 - 5x + 1 at the point (1, -2)? O A. -9 O B. -1 O C. O O D. 1 O E. 9What is the equation ofthe line perpendicular to the function f (m) = $2 + 2x 2 at the point (1, 1)? O A. y=4m+5 O B. y=2cc+3 The height of a ball thrown vertically upward is given by the function h (t) = -16t + 40t + 6, where h is in feet and t is in seconds. What is the speed of the ball at t = 1 in ft./s? O A. 8 ft./s O B. 24 ft./s O C. 30 ft./s O D. 48 ft./s O E. 72 ft./s
Step by Step Solution
There are 3 Steps involved in it
Get step-by-step solutions from verified subject matter experts
