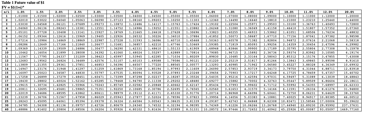
Question: How much will $30,000 grow to in five years, assuming an interest rate of 11% compounded annually? Note: Use tables, Excel, or a financial calculator.





How much will $30,000 grow to in five years, assuming an interest rate of 11% compounded annually? Note: Use tables, Excel, or a financial calculator. Round your final answer to the nearest whole dollar. (FV of $1, PV of $1, FVA of $1, and PVA of $1 ). Multiple Choice $50,552 $47,804 $46,500 $80,552 Table 1 Future value of $1 TABLE 2 Present value of $1 Table 3 Future Value of an Ordinary Annuity of $1 Table 4 Present Value of an Ordinary Annuity of $1
Step by Step Solution
There are 3 Steps involved in it
Get step-by-step solutions from verified subject matter experts
