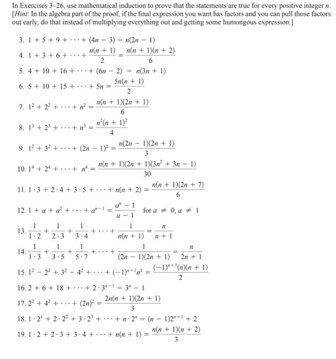
Question: how to so question 10, (discrete structures) chapter 2 section 2 In Exercises 3-26, use mathematical induction to prove that the statements are true for
In Exercises 3-26, use mathematical induction to prove that the statements are true for every positive integer n. [Hint: In the algebra part of the proof, if the final expression you want has factors and you can pull those factors out early, do that instead of multiplying everything out and getting some humongous expression.] 3. 1 + 5 + 9 +++++ (4n - 3) = n(2n - 1) n(n + 1)_nin + 1)(n + 2) 4. 1 + 3 + 6+ ... + 2 6 5. 4 + 10 + 16 + ... + (n - 2) = n(3n + 1) Sn(n + 1) 6. 5 + 10 + 15 + ... + 5n = 2 7.12 + 22 + ... + m2 = n(n + 1)(2n + 1) 6 8.1 +23+ ... + 1?(n + 1)2 12 + 9.1? + 32 + ... + (2n - 1)2 = n(2n - 1)(2n + 1) 3 10.1 +2 + n(n + 1)(2n + 1)(3x + 3n - 1) 30 11.1.3 +2.4 +3.5+ ... + n(n + 2) = n(n + 1)(2n + 7) 6 a" - 1 12.1 + a + 2? + ... + an! for a # 0,a # 1 a-1 1 1 1 1 13. + +++.+ 1.2 2.3 3.4 n(n + 1) 1+1 1 1 1 1 14. + + +...+ 1.3 3.5 5.7 (2n 1) (2n + 1) 2n + 1 15.12 - 22 + 32 - 4 + ... (-1)"+"(n)(n + 1) .. + (-1)"+" = 2 16.2 + 6 + 18+ ... +2.3"-1 = 3" - 1 17.22 +42 + ... + (2n) 2n(n + 1)(2n + 1) 3 18.1.2 +2.22 + 3.2 + ... +n2" = (n 1)24 + 1 + 2 n(n + 1)(n + 2) 19.1.2 + 2-3 +3 +4 + ... + n(n + 1) = 3
Step by Step Solution
There are 3 Steps involved in it
Get step-by-step solutions from verified subject matter experts
