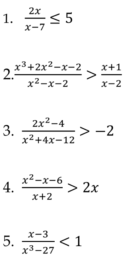
Question: How to solve each inequality, express the solution set in interval notation, then graph the solution set using the five steps. f
How to solve each inequality, express the solution set in interval notation, then graph the solution set using the five steps.

Step by Step Solution
There are 3 Steps involved in it
Get step-by-step solutions from verified subject matter experts
