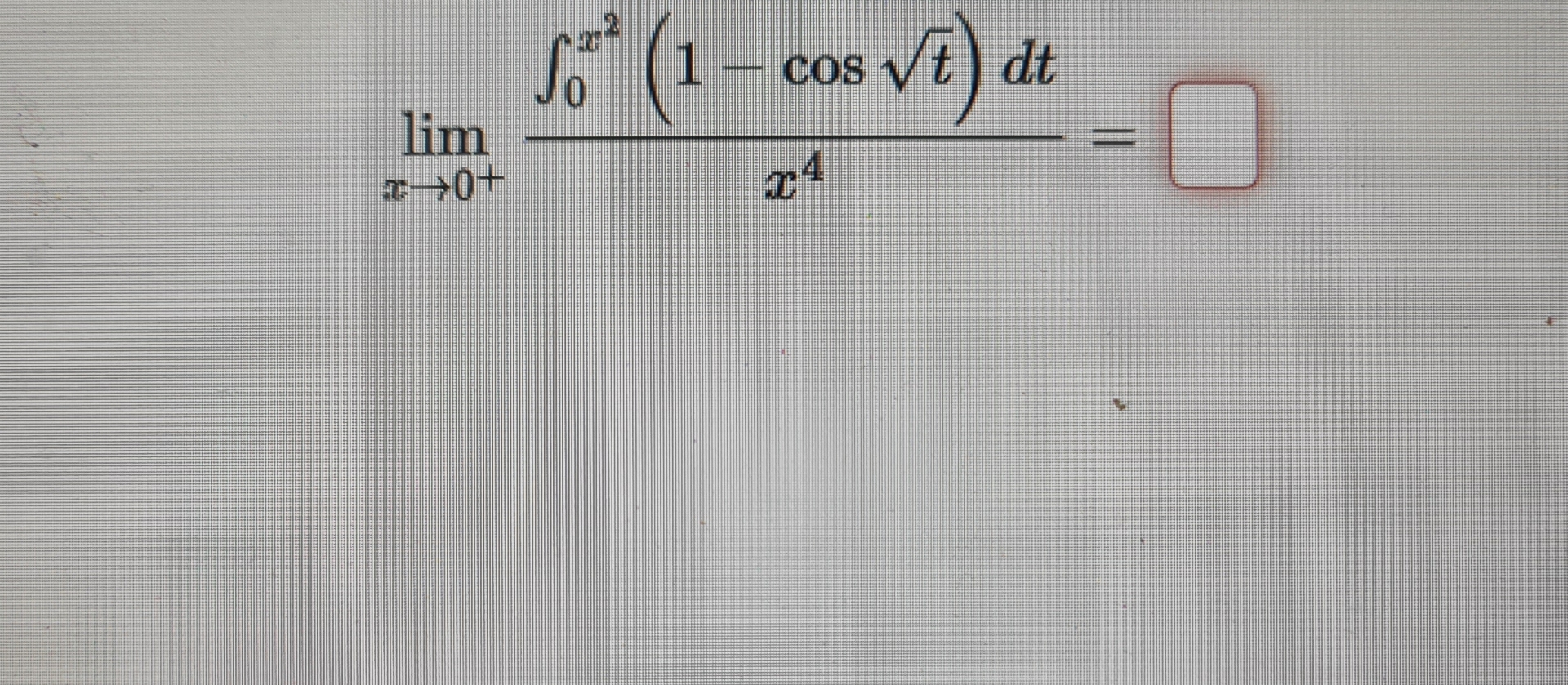
Question: How to solve lim x 0 + 0 x 2 ( 1 - c o s t 2 ) d t x 4 =
How to solve
Step by Step Solution
There are 3 Steps involved in it
1 Expert Approved Answer
Step: 1 Unlock
Question Has Been Solved by an Expert!
Get step-by-step solutions from verified subject matter experts
Step: 2 Unlock
Step: 3 Unlock
